The Project Gutenberg EBook of Scientific American Supplement, No. 363,
December 16, 1882, by Various

This eBook is for the use of anyone anywhere at no cost and with
almost no restrictions whatsoever.  You may copy it, give it away or
re-use it under the terms of the Project Gutenberg License included
with this eBook or online at www.gutenberg.org


Title: Scientific American Supplement, No. 363, December 16, 1882

Author: Various

Posting Date: October 10, 2012 [EBook #8452]
Release Date: July, 2005
First Posted: July 16, 2003

Language: English

Character set encoding: ISO-8859-1

*** START OF THIS PROJECT GUTENBERG EBOOK SCIENTIFIC AMERICAN SUPPL., NO. 363 ***




Produced by Olaf Voss, Don Kretz, Juliet Sutherland, Charles
Franks and the Online Distributed Proofreaders Team






SCIENTIFIC AMERICAN SUPPLEMENT NO. 363

NEW YORK, DECEMBER 16, 1882

Scientific American Supplement. Vol. XIV, No. 363.

Scientific American established 1845

Scientific American Supplement, $5 a year.

Scientific American and Supplement, $7 a year.


TABLE OF CONTENTS
I. ENGINEERING AND MECHANICS.--The New York Canals.-- Their history, dimensions, and commercial influence
Cottrau's Locomotive for Ascending Steep Grades.--1 figure
Bachmann's Steam Drier--3 figures
H. S. Parmelee's Patent Automatic sprinkler.--2 figures
Instrument for Drawing Converging Straight Lines.--10 figures
Feed Water Heater and Purifier. By GEO. S. STRONG.--2 figures
Paper Making "Down East."
Goulier's Tube Gauge.--1 figure.-Plan and longitudinal and transverse sections
Soldering Without an Iron
Working Copper Ores at Spenceville
II. TECHNOLOGY AND CHEMISTRY-New Method of Detecting Dyes on Yarns and Tissues. By JULES JOFFRE.--Reagents.--Red colors.--Violet colors
Chevalet's Condenso-purifier for Gas.--2 figures.--Elevation and plan
Artificial Ivory
Creosote Impurities. By Prof P. W. BEDFORD
III. ELECTRICITY. ETC.--Sir William Thomson's Pile--2 figures
Siemens' Telemeter.--1 figure.--Siemens electric telemeter
Physics Without Apparatus.--Experiment in static electricity.-- 1 figure
The Cascade Battery. By F. HIGGINS.--1 figure
Perfectly Lovely Philosophy
IV. ASTRONOMY, ETC.--The Comet as seen from the Pyramids near Cairo, Egypt.--1 figure
Sunlight and skylight at High Altitudes.--Influence of the atmosphere upon the solar spectrum.--Observations of Capt. Abney and Professor Langley.--2 figures
How to Establish a True Meridian
V. MINERALOGY.--The Mineralogical Localities in and Around New York City, and the Minerals Occurring Therein. By NELSON H. DAKTON. Part III.--Hoboken minerals.--Magnesite.--Dolomite. --Brucite.--Aragonite.--Serpentine.--Chromic iron--Datholite. --Pectolite.--Feldspar.--Copper mines, Arlington, N.J.-Green malachite.--Red oxide of copper.--Copper glance.--Erubescite
VI. ENTOMOLOGY.--The Buckeye Leaf Stem Borer
Defoliation of Oak Trees by Dryocampa senatoria in Perry County, Pa.
Efficacy of Chalcid Egg Parasites
On the Biology of Gonatopis Pilosus, Thoms
Species of Otiorhynchadae Injurious to Cultivated Plants
VII. ART, ARCHITECTURE, ETC.--Monteverde's Statue of Architecture. --Full page illustration, Lit Architectura. By JULI MONTEVERDE
Design for a Gardener's Cottage.--1 figure
VIII. HYGIENE AND MEDICINE.--Remedy for Sick Headache
IX. ORNITHOLOGY.--Sparrows in the United States.--Effects of acclimation, etc.
X. MISCELLANEOUS.--James Prescott Joule, with Portrait.--A sketch of the life and investigations of the discoverer of the mechanical equivalent of heat. By J. T. BOTTOMLEY
The Proposed Dutch International Colonial and General Export Exhibition.--1 figure.--Plan of the Amsterdam Exhibition

THE COMET FROM THE PYRAMIDS, CAIRO

Some centuries ago, the appearance of so large a comet as is now interesting the astronomical world, almost contemporaneously with our victory in Egypt, would have been looked upon as an omen of great portent, and it is a curious coincidence that the first glimpse Sir Garnet Wolseley had of this erratic luminary was when standing, on the eventful morning of September 13, 1882, watch in hand, before the intrenchments of Tel-el-Kebir, waiting to give the word to advance. As may be seen in our sketch, the comet is seen in Egypt in all its magnificence, and the sight in the early morning from the pyramids (our sketch was taken at 4 A.M.) is described as unusually grand.--London Graphic.

THE COMET AS SEEN FROM THE GREAT PYRAMIDS, NEAR CAIRO, EGYPT.

THE COMET AS SEEN FROM THE GREAT PYRAMIDS, NEAR CAIRO, EGYPT.


[NATURE.]

JAMES PRESCOTT JOULE.

James Prescott Joule was born at Salford, on Christmas Eve of the year 1818. His father and his grandfather before him were brewers, and the business, in due course, descended to Mr. Joule and his elder brother, and by them was carried on with success till it was sold, in 1854. Mr. Joule's grandfather came from Elton, in Derbyshire, settled near Manchester, where he founded the business, and died at the age of fifty-four, in 1799. His father, one of a numerous family, married a daughter of John Prescott of Wigan. They had five children, of whom James Prescott Joule was the second, and of whom three were sons--Benjamin, the eldest, James, and John--and two daughters--Alice and Mary. Mr. Joule's mother died in 1836 at the age of forty-eight; and his father, who was an invalid for many years before his death, died at the age of seventy-four, in the year 1858.

Young Joule was a delicate child, and was not sent to school. His early education was commenced by his mother's half sister, and was carried on at his father's house, Broomhill, Pendlebury, by tutors till he was about fifteen years of age. At fifteen he commenced working in the brewery, which, as his father's health declined, fell entirely into the hands of his brother Benjamin and himself.

Mr. Joule obtained his first instruction in physical science from Dalton, to whom his father sent the two brothers to learn chemistry. Dalton, one of the most distinguished chemists of any age or country, was then President of the Manchester Literary and Philosophical Society, and lived and received pupils in the rooms of the Society's house. Many of his most important memoirs were communicated to the Society, whose Transactions are likewise enriched by a large number of communications from his distinguished pupil. Dalton's instruction to the two young men commenced with arithmetic, algebra, and geometry. He then taught them natural philosophy out of Cavallo's text-book, and afterward, but only for a short time before his health gave way, in 1837, chemistry from his own "New System of Chemical Philosophy." "Profound, patient, intuitive," his teaching must have had great influence on his pupils. We find Mr. Joule early at work on the molecular constitution of gases, following in the footsteps of his illustrious master, whose own investigations on the constitution of mixed gases, and on the behavior of vapors and gases under heat, were among the most important of his day, and whose brilliant discovery of the atomic theory revolutionized the science of chemistry and placed him at the head of the philosophical chemists of Europe.

JAMES PRESCOTT JOULE.

JAMES PRESCOTT JOULE.

Under Dalton, Mr. Joule first became acquainted with physical apparatus; and the interest excited in his mind very soon began to produce fruit. Almost immediately he commenced experimenting on his own account. Obtaining a room in his father's house for the purpose, he began by constructing a cylinder electric machine in a very primitive way. A glass tube served for the cylinder; a poker hung up by silk threads, as in the very oldest forms of electric machine, was the prime conductor; and for a Leyden jar he went back to the old historical jar of Cunaeus, and used a bottle half filled with water, standing in an outer vessel, which contained water also.

Enlarging his stock of apparatus, chiefly by the work of his own hands, he soon entered the ranks as an investigator, and original papers followed each other in quick succession. The Royal Society list now contains, the titles of ninety-seven papers due to Joule, exclusive of over twenty very important papers detailing researches undertaken by him conjointly with Thomson, with Lyon Playfair, and with Scoresby.

Mr. Joule's first investigations were in the field of magnetism. In 1838, at the age of nineteen, he constructed an electro-magnetic engine, which he described in Sturgeon's "Annals of Electricity" for January of that year. In the same year, and in the three years following, he constructed other electro-magnetic machines and electro-magnets of novel forms; and experimenting with the new apparatus, he obtained results of great importance in the theory of electro-magnetism. In 1840 he discovered and determined the value of the limit to the magnetization communicable to soft iron by the electric current; showing for the case of an electro-magnet supporting weight, that when the exciting current is made stronger and stronger, the sustaining power tends to a certain definite limit, which, according to his estimate, amounts to about 140 lb. per square inch of either of the attracting surfaces. He investigated the relative values of solid iron cores for the electro-magnetic machine, as compared with bundles of iron wire; and, applying the principles which he had discovered, he proceeded to the construction of electro-magnets of much greater lifting power than any previously made, while he studied also the methods of modifying the distribution of the force in the magnetic field.

In commencing these investigations he was met at the very outset, as he tells us, with "the difficulty, if not impossibility, of understanding experiments and comparing them with one another, which arises in general from incomplete descriptions of apparatus, and from the arbitrary and vague numbers which are used to characterize electric currents. Such a practice," he says, "might be tolerated in the infancy of science; but in its present state of advancement greater precision and propriety are imperatively demanded. I have therefore determined," he continues, "for my own part to abandon my old quantity numbers, and to express my results on the basis of a unit which shall be at once scientific and convenient."

The discovery by Faraday of the law of electro-chemical equivalents had induced him to propose the voltameter as a measurer of electric currents, but the system proposed had not been used in the researches of any electrician, not excepting those of Faraday himself. Joule, realizing for the first time the importance of having a system of electric measurement which would make experimental results obtained at different times and under various circumstances comparable among themselves, and perceiving at the same time the advantages of a system of electric measurement dependent on, or at any rate comparable with, the chemical action producing the electric current, adopted as unit quantity of electricity the quantity required to decompose nine grains of water, 9 being the atomic weight of water, according to the chemical nomenclature then in use.

He had already made and described very important improvements in the construction of galvanometers, and he graduated his tangent galvanometer to correspond with the system of electric measurement he had adopted. The electric currents used in his experiments were thenceforth measured on the new system; and the numbers given in Joule's papers from 1840 downward are easily reducible to the modern absolute system of electric measurements, in the construction and general introduction of which he himself took so prominent a part. It was in 1840, also, that after experimenting on improvements in voltaic apparatus, he turned his attention to "the heat evolved by metallic conductors of electricity and in the cells of a battery during electrolysis." In this paper, and those following it in 1841 and 1842, he laid the foundation of a new province in physical science-electric and chemical thermodynamics-then totally unknown, but now wonderfully familiar, even to the roughest common sense practical electrician. With regard to the heat evolved by a metallic conductor carrying an electric current, he established what was already supposed to be the law, namely, that "the quantity of heat evolved by it [in a given time] is always proportional to the resistance which it presents, whatever may be the length, thickness, shape, or kind of the metallic conductor," while he obtained the law, then unknown, that the heat evolved is proportional to the square of the quantity of electricity passing in a given time. Corresponding laws were established for the heat evolved by the current passing in the electrolytic cell, and likewise for the heat developed in the cells of the battery itself.

In the year 1840 he was already speculating on the transformation of chemical energy into heat. In the paper last referred to and in a short abstract in the Proceedings of the Royal Society, December, 1840, he points out that the heat generated in a wire conveying a current of electricity is a part of the heat of chemical combination of the materials used in the voltaic cell, and that the remainder, not the whole heat of combination, is evolved within the cell in which the chemical action takes place. In papers given in 1841 and 1842, he pushes his investigations further, and shows that the sum of the heat produced in all parts of the circuit during voltaic action is proportional to the chemical action that goes on in the voltaic pile, and again, that the quantities of heat which are evolved by the combustion of equivalents of bodies are proportional to the intensities of their affinities for oxygen. Having proceeded thus far, he carried on the same train of reasoning and experiment till he was able to announce in January, 1843, that the magneto-electric machine enables us to convert mechanical power into heat. Most of his spare time in the early part of the year 1843 was devoted to making experiments necessary for the discovery of the laws of the development of heat by magneto-electricity, and for the definite determination of the mechanical value of heat.

At the meeting of the British Association at Cork, on August 21, 1843, he read his paper "On the Calorific Effects of Magneto-Electricity, and on the Mechanical Value of Heat." The paper gives an account of an admirable series of experiments, proving that heat is generated (not merely transferred from some source) by the magneto-electric machine. The investigation was pushed on for the purpose of finding whether a constant ratio exists between the heat generated and the mechanical power used in its production. As the result of one set of magneto-electric experiments, he finds 838 foot pounds to be the mechanical equivalent of the quantity of heat capable of increasing the temperature of one pound of water by one degree of Fahrenheit's scale. The paper is dated Broomhill, July, 1843, but a postscript, dated August, 1843, contains the following sentences:

"We shall be obliged to admit that Count Rumford was right in attributing the heat evolved by boring cannon to friction, and not (in any considerable degree) to any change in the capacity of the metal. I have lately proved experimentally that heat is evolved by the passage of water through narrow tubes. My apparatus consisted of a piston perforated by a number of small holes, working in a cylindrical glass jar containing about 7 lb. of water. I thus obtained one degree of heat per pound of water from a mechanical force capable of raising about 770 lb. to the height of one foot, a result which will be allowed to be very strongly confirmatory of our previous deductions. I shall lose no time in repeating and extending these experiments, being satisfied that the grand agents of nature are, by the Creator's fiat, indestructible, and that wherever mechanical force is expended, an exact equivalent of heat is always obtained."

This was the first determination of the dynamical equivalent of heat. Other naturalists and experimenters about the same time were attempting to compare the quantity of heat produced under certain circumstances with the quantity of work expended in producing it; and results and deductions (some of them very remarkable) were given by Séguin (1839), Mayer (1842), Colding (1843), founded partly on experiment, and partly on a kind of metaphysical reasoning. It was Joule, however, who first definitely proposed the problem of determining the relation between heat produced and work done in any mechanical action, and solved the problem directly.

It is not to be supposed that Joule's discovery and the results of his investigation met with immediate attention or with ready acquiescence. The problem occupied him almost continuously for many years; and in 1878 he gives in the Philosophical Transactions the results of a fresh determination, according to which the quantity of work required to be expended in order to raise the temperature of one pound of water weighed in vacuum from 60° to 61° Fahr., is 772.55 foot pounds of work at the sea level and in the latitude of Greenwich. His results of 1849 and 1878 agree in a striking manner with those obtained by Hirn and with those derived from an elaborate series of experiments carried out by Prof. Rowland, at the expense of the Government of the United States.

His experiments subsequent to 1843 on the dynamical equivalent of heat must be mentioned briefly. In that year his father removed from Pendlebury to Oak Field, Whalley Range, on the south side of Manchester, and built for his son a convenient laboratory near to the house. It was at this time that he felt the pressing need of accurate thermometers; and while Regnault was doing the same thing in France, Mr. Joule produced, with the assistance of Mr. Dancer, instrument maker, of Manchester, the first English thermometers possessing such accuracy as the mercury-in-glass thermometer is capable of. Some of them were forwarded to Prof. Graham and to Prof. Lyon Playfair; and the production of these instruments was in itself a most important contribution to scientific equipment.

As the direct experiment of friction of a fluid is dependent on no hypothesis, and appears to be wholly unexceptionable, it was used by Mr. Joule repeatedly in modified forms. The stirring of mercury, of oil, and of water with a paddle, which was turned by a falling weight, was compared, and solid friction, the friction of iron on iron under mercury, was tried; but the simple stirring of water seemed preferable to any, and was employed in all his later determinations.

In 1847 Mr. Joule was married to Amelia, daughter of Mr. John Grimes, Comptroller of Customs, Liverpool. His wife died early (1854), leaving him one son and one daughter.

The meeting of the British Association at Oxford, in this year, proved an interesting and important one. Here Joule read a fresh paper "On the Mechanical Equivalent of Heat." Of this meeting Sir William Thomson writes as follows to the author of this notice:

"I made Joule's acquaintance at the Oxford meeting, and it quickly ripened into a lifelong friendship.

"I heard his paper read in the section, and felt strongly impelled at first to rise and say that it must be wrong, because the true mechanical value of heat given, suppose in warm water, must, for small differences of temperature, be proportional to the square of its quantity. I knew from Carnot that this must be true (and it is true; only now I call it 'motivity,' to avoid clashing with Joule's 'mechanical value'). But as I listened on and on, I saw that (though Carnot had vitally important truth, not to be abandoned) Joule had certainly a great truth and a great discovery, and a most important measurement to bring forward. So, instead of rising, with my objection, to the meeting, I waited till it was over, and said my say to Joule himself, at the end of the meeting. This made my first introduction to him. After that I had a long talk over the whole matter at one of the conversaziones of the Association, and we became fast friends from thenceforward. However, he did not tell me he was to be married in a week or so; but about a fortnight later I was walking down from Chamounix to commence the tour of Mont Blanc, and whom should I meet walking up but Joule, with a long thermometer in his hand, and a carriage with a lady in it not far off. He told me he had been married since we had parted at Oxford! and he was going to try for elevation of temperature in waterfalls. We trysted to meet a few days later at Martigny, and look at the Cascade de Sallanches, to see if it might answer. We found it too much broken into spray. His young wife, as long as she lived, took complete interest in his scientific work, and both she and he showed me the greatest kindness during my visits to them in Manchester for our experiments on the thermal effects of fluid in motion, which we commenced a few years later"

"Joule's paper at the Oxford meeting made a great sensation. Faraday was there and was much struck with it, but did not enter fully into the new views. It was many years after that before any of the scientific chiefs began to give their adhesion. It was not long after, when Stokes told me he was inclined to be a Joulite."

"Miller, or Graham, or both, were for years quite incredulous as to Joule's results, because they all depended on fractions of a degree of temperature--sometimes very small fractions. His boldness in making such large conclusions from such very small observational effects is almost as noteworthy and admirable as his skill in extorting accuracy from them. I remember distinctly at the Royal Society, I think it was either Graham or Miller, saying simply he did not believe Joule, because he had nothing but hundredths of a degree to prove his case by."

The friendship formed between Joule and Thomson in 1847 grew rapidly. A voluminous correspondence was kept up between them, and several important researches were undertaken by the two friends in common. Their first joint research was on the thermal effects experienced by air rushing through small apertures The results of this investigation give for the first time an experimental basis for the hypothesis assumed without proof by Mayer as the foundation for an estimate of the numerical relation between quantities of heat and mechanical work, and they show that for permanent gases the hypothesis is very approximately true. Subsequently, Joule and Thomson undertook more comprehensive investigations on the thermal effects of fluids in motion, and on the heat acquired by bodies moving rapidly through the air. They found the heat generated by a body moving at one mile per second through the air sufficient to account for its ignition. The phenomena of "shooting stars" were explained by Mr. Joule in 1847 by the heat developed by bodies rushing into our atmosphere.

It is impossible within the limits to which this sketch is necessarily confined to speak in detail of the many researches undertaken by Mr. Joule on various physical subjects. Even of the most interesting of these a very brief notice must suffice for the present.

Molecular physics, as I have already remarked, early claimed his attention. Various papers on electrolysis of liquids, and on the constitution of gases, have been the result. A very interesting paper on "Heat and the Constitution of Elastic Fluids" was read before the Manchester Literary and Philosophical Society in 1848. In it he developed Daniel Bernoulli's explanation of air pressure by the impact of the molecules of the gas on the sides of the vessel which contains it, and from very simple considerations he calculated the average velocity of the particles requisite to produce ordinary atmospheric pressure at different temperatures. The average velocity of the particles of hydrogen at 32° F. he found to be 6,055 feet per second, the velocities at various temperatures being proportional to the square roots of the numbers which express those temperatures on the absolute thermodynamic scale.

His contribution to the theory of the velocity of sound in air was likewise of great importance, and is distinguished alike for the acuteness of his explanations of the existing causes of error in the work of previous experimenters, and for the accuracy, so far as was required for the purpose in hand, of his own experiments. His determination of the specific heat of air, pressure constant, and the specific heat of air, volume constant, furnished the data necessary for making Laplace's theoretical velocity agree with the velocity of sound experimentally determined. On the other hand, he was able to account for most puzzling discrepancies, which appeared in attempted direct determinations of the differences between the two specific heats by careful experimenters. He pointed out that in experiments in which air was allowed to rush violently or explode into a vacuum, there was a source of loss of energy that no one had taken account of, namely, in the sound produced by the explosion. Hence in the most careful experiments, where the vacuum was made as perfect as possible, and the explosion correspondingly the more violent, the results were actually the worst. With his explanations, the theory of the subject was rendered quite complete.

Space fails, or I should mention in detail Mr. Joule's experiments on magnetism and electro-magnets, referred to at the commencement of this sketch. He discovered the now celebrated change of dimensions produced by the magnetization of soft iron by the current. The peculiar noise which accompanies the magnetization of an iron bar by the current, sometimes called the "magnetic tick," was thus explained.

Mr. Joule's improvements in galvanometers have already been incidentally mentioned, and the construction by him of accurate thermometers has been referred to. It should never be forgotten that he first used small enough needles in tangent galvanometers to practically annul error from want of uniformity of the magnetic field. Of other improvements and additions to philosophical instruments may be mentioned a thermometer, unaffected by radiation, for measuring the temperature of the atmosphere, an improved barometer, a mercurial vacuum pump, one of the very first of the species which is now doing such valuable work, not only in scientific laboratories, but in the manufacture of incandescent electric lamps, and an apparatus for determining the earth's horizontal magnetic force in absolute measure.

Here this imperfect sketch must close. My limits are already passed. Mr. Joule has never been in any sense a public man; and, of those who know his name as that of the discoverer who has given the experimental basis for the grandest generalization in the whole of physical science, very few have ever seen his face. Of his private character this is scarcely the place to speak. Mr. Joule is still among us. May he long be spared to work for that cause to which he has given his life with heart-whole devotion that has never been excelled.

In June, 1878, he received a letter from the Earl of Beaconsfield announcing to him that Her Majesty the Queen had been pleased to grant him a pension of £200 per annum. This recognition of his labors by his country was a subject of much gratification to Mr. Joule.

Mr. Joule received the Gold Royal Medal of the Royal Society in 1852, the Copley Gold Medal of the Royal Society in 1870, and the Albert Medal of the Society of Arts from the hand of the Prince of Wales in 1880.

J. T. BOTTOMLEY.


THE NEW YORK CANALS.

The recent adoption of the constitutional amendment abolishing tolls on the canals of New York State has revived interest in these water ways. The overwhelming majority by which the measure was passed shows, says the Glassware Reporter, that the people are willing to bear the cost of their management by defraying from the public treasury all expenses incident to their operation. That the abolition of the toll system will be a great gain to the State seems to be admitted by nearly everybody, and the measure met with but little opposition except from the railroad corporations and their supporters.

At as early a date as the close of the Revolutionary War, Mr. Morris had suggested the union of the great lakes with the Hudson River, and in 1812 he again advocated it. De Witt Clinton, of New York, one of the most, valuable men of his day, took up the idea, and brought the leading men of his State to lend him their support in pushing it. To dig a canal all the way from Albany to Lake Erie was a pretty formidable undertaking; the State of New York accordingly invited the Federal government to assist in the enterprise.

The canal was as desirable on national grounds as on any other, but the proposition met with a rebuff, and the Empire State then resolved to build the canal herself. Surveyors were sent out to locate a line for it, and on July 4, 1817, ground was broken for the canal by De Witt Clinton, who was then Governor of the State.

The main line, from Albany, on the Hudson, to Buffalo, on Lake Erie, measures 363 miles in length, and cost $7,143,789. The Champlain, Oswego, Chemung, Cayuga, and Crooked Lake canals, and some others, join the main line, and, including these branch lines, it measures 543 miles in length, and cost upward of $11,500,000. This canal was originally 40 feet in breadth at the water line, 28 feet at the bottom, and 4 feet in depth. Its dimensions proved too small for the extensive trade which it had to support, and the depth of water was increased to 7 feet, and the extreme breadth of the canal to 60 feet. There are 84 locks on the main line. These locks, originally 90 feet in length and 15 in breadth, and with an average lift of 8 feet 2 inches, have since been much enlarged. The total rise and fall is 692 feet. The towpath is elevated 4 feet above the level of the water, and is 10 feet in breadth. At Lockport the canal descends 60 feet by means of 5 locks excavated in solid rock, and afterward proceeds on a uniform level for a distance of 63 miles to the Genesee River, over which it is carried on an aqueduct having 9 arches of 50 feet span each. Eight and a half miles from this point it passes over the Cayuga marsh, on an embankment 2 miles in length, and in some places 70 feet in height. At Syracuse, the "long level" commences, which extends for a distance of 69½ miles to Frankfort, without an intervening lock. After leaving Frankfort, the canal crosses the river Mohawk, first by an aqueduct 748 feet in length, supported on 16 piers, elevated 25 feet above the surface of the river, and afterward by another aqueduct 1,188 feet in length, and emerges into the Hudson at Albany.

This great work was finished in 1825, and its completion was the occasion of great public rejoicing. The same year that the Erie Canal was begun, ground was broken for a canal from Lake Champlain to the Hudson, sixty-three miles in length. This work was completed in 1823.

The construction of these two water ways was attended with the most interesting consequences. Even before they were completed their value had become clearly apparent. Boats were placed upon the Erie Canal as fast as the different levels were ready for use, and set to work in active transportation. They were small affairs compared with those of the present day, being about 50 or 60 tons burden, the modern canal boat being 180 or 200 tons. Small as they were, they reduced the cost of transportation immediately to one-tenth what it had been before. A ton of freight by land from Buffalo to Albany cost at that time $100. When the canal was open its entire length, the cost of freight fell from fifteen to twenty-five dollars a ton, according to the class of article carried; and the time of transit from 20 to 8 days, Wheat at that time was worth only $33 a ton in western New York, and it did not pay to send it by land to New York. When sent to market at all, it was floated down the Susquehanna to Baltimore, as being the cheapest and best market. The canal changed that. It now became possible to send to market a wide variety of agricultural produce--fruit, grain, vegetables, etc.--which, before the canal was built, either had no value at all, or which could be disposed of to no good advantage. It is claimed by the original promoters of the Erie Canal, who lived to see its beneficial effects experienced by the people of the country, that their work, costing less than $8.000,000 and paying its whole cost of construction in a very few years, added $100,000,000 to the value of the farms of New York by opening up good and ready markets for their products. The canal had another result. It made New York city the commercial metropolis of the country. An old letter, written by a resident of Newport, R. I., in that age, has lately been discovered, which speaks of New York city, and says: "If we do not look out, New York will get ahead of us." Newport was then one of the principal seaports of the country; it had once been the first. New York city certainly did "get ahead of us" after the Erie Canal was built. It got ahead of every other commercial city on the coast. Freight, which had previously gone overland from Ohio and the West to Pittsburg, and thence to Philadelphia, costing $120 a ton between the two cities named, now went to New York by way of the Hudson River and the Erie Canal and the lakes. Manufactures and groceries returned to the West by the same route, and New York became a flourishing and growing emporium immediately. The Erie Canal was enlarged in 1835, so as to permit the passage of boats of 100 tons burden, and the result was a still further reduction of the cost of freighting, expansion of traffic, and an increase of the general benefits conferred by the canal. The Champlain Canal had an effect upon the farms and towns lying along Lake Champlain, in Vermont and New York, kindred in character to that above described in respect to the Erie Canal. It brought into the market lands and produce which before had been worthless, and was a great blessing to all concerned.

There can be no doubt that the building of the Erie Canal was the wisest and most far-seeing enterprise of the age. It has left a permanent and indelible mark upon the face of the republic of the United States in the great communities it has directly assisted to build up at the West, and in the populous metropolis it created at the mouth of the Hudson River. None of the canals which have been built to compete with it have yet succeeded in regaining for their States what was lost to them when the Erie Canal went into operation. This water route is still the most important artificial one of its class in the country, and is only equaled by the Welland Canal in Canada, which is its closest rival. Now that it is free, it will retain its position as the most popular water route to the sea from the great West. The Mississippi River will divert from it all the trade flowing to South America and Mexico; but for the northwest it will be the chief water highway to the ocean.


COTTRAU'S LOCOMOTIVE FOR ASCENDING STEEP GRADES.

We borrow, from our contemporary La Nature, the annexed figure, illustrating an ingenious type of locomotive designed for equally efficient use on both level surfaces and heavy grades.

COTTRAU'S LOCOMOTIVE FOR ASCENDING STEEP
GRADES.

As well known, all the engines employed on level roads are provided with large driving wheels, which, although they have a comparatively feeble tractive power, afford a high speed, while, on the contrary, those that are used for ascending heavy grades have small wheels that move slowly, but possess, as an offset, a tractive power that enables them to overcome the resistances of gravity.

M. Cottrau's engine possesses the qualities of both these types, since it is provided with wheels of large and small diameter, that may be used at will. These two sets of wheels, as may be seen from the figure, are arranged on the same driving axle. The large wheels are held apart the width of the ordinary track, while the small wheels are placed internally, or as in the case represented in the figure, externally. These two sets of wheels, being fixed solidly to the same axle, revolve together.

On level surfaces the engine rests on the large wheels, which revolve in contact with the rails of the ordinary track, and it then runs with great speed, while the auxiliary wheels revolve to no purpose. On reaching an ascent, on the contrary, the engine meets with an elevated track external or internal to the ordinary one, and which engages with the auxiliary wheels. The large wheels are then lifted off the ordinary track and revolve to no purpose. In both cases, the engine is placed under conditions as advantageous as are those that are built especially for the two types of roads. The idea appears to be a very ingenious one, and can certainly be carried out without disturbing the working of the locomotive. In fact, the same number of piston strokes per minute may be preserved in the two modes of running, so as to reduce the speed in ascending, in proportion to the diameters of the wheels. There will thus occur the same consumption of steam. On another hand, there is nothing to prevent the boiler from keeping up the same production of steam, for it has been ascertained by experience, on the majority of railways, that the speed of running has no influence on vaporization, and that the same figures may be allowed for passenger as for freight locomotives.

The difficulties in the way of construction that will be met with in the engine under consideration will be connected with the placing of the double wheels, which will reduce the already limited space at one's disposal, and with the necessity that there will be of strengthening all the parts of the mechanism that are to be submitted to strain.

The installation of the auxiliary track will also prove a peculiarly delicate matter; and, to prevent accidents, some means will have to be devised that will permit the auxiliary wheels to engage with this track very gradually. Still, these difficulties are perhaps not insurmountable, and if M. Cottrau's ingenious arrangement meets with final success in practice, it will find numerous applications.


BACHMANN'S STEAM DRIER.

The apparatus shown in the annexed cuts is capable of effecting a certain amount of saving in the fuel of a generator, and of securing a normal operation in a steam engine. If occasion does not occur to blow off the motive cylinder frequently, the water that is carried over mechanically by the steam, or that is produced through condensation in the pipes, accumulates therein and leaks through the joints of the cocks and valves. This is one of the causes that diminish the performance of the motor.

BACHMANN'S STEAM DRIER. FIG. 1.

BACHMANN'S STEAM DRIER. FIG. 1.

The steam drier under consideration has been devised by Mr. Bachmann for the purpose of doing away with such inconveniences. When applied to apparatus employed in heating, for cooking, for work in a vacuum, it may be affixed to the pipe at the very place where the steam is utilized, so as to draw off all the water from the mixture.

As shown by the arrows in Fig 1, the steam enters through the orifice, D, along with the water that it carries, gives up the latter at P, and is completely dried at the exit, R. The partition, g, is so arranged as to diminish the section of the steam pipe, in order to increase the effect of the gravity that brings about the separation of the mixture. The water that falls into the space, P, is exhausted either by means of a discharge cock (Fig. 1), which gives passage to the liquid only, or by the aid of an automatic purge-cock (Figs. 2 and 3), the locating of which varies with the system employed. This arrangement is preferable to the other, since it permits of expelling the water deposited in the receptacle, P, without necessitating any attention on the part of the engine-man.


H.S. PARMELEE'S PATENT AUTOMATIC SPRINKLER.

The inventor says: "The automatic sprinkler is a device for automatically extinguishing fires through the release of water by means of the heat of the fire, the water escaping in a shower, which is thrown in all directions to a distance of from six to eight feet. The sprinkler is a light brass rose, about 1½ inches diameter and less than two inches high entire, the distributer being a revolving head fitted loosely to the body of the fixed portion, which is made to screw into a half inch tube connection. The revolution of the distributer is effected by the resistance the water meets in escaping through slots cut at an angle in the head. The distribution of water has been found to be the most perfect from this arrangement. Now, this distributing head is covered over with a brass cap, which is soldered to the base beneath with an alloy which melts at from 155 to 160 degrees. No water can escape until the cap is removed. The heat of an insignificant fire is sufficient to effect this, and we have the practical prevention of any serious damage or loss through the multiplication of the sprinkler.

PARMELEE'S PATENT AUTOMATIC SPRINKLER.
FIG. 1.--Section of Sprinkler with Cap on.

The annexed engravings represent the sprinkler at exact size for one-half inch connection. Fig. 1 shows a section with the cap covering over the sprinkler, and soldered on to the base. Fig. 2 shows the sprinkler with the cap off, which, of course, leaves the water free to run from the holes in fine spray in all directions. Fig. 1 shows the base hollowed out so as to allow the heat to circulate in between the pipe and the base of the sprinkler, thus allowing the heat to operate on the inside as well as on the outside of the sprinkler; thus, in case of fire, it is very quickly heated through sufficiently to melt the fusible solder. These sprinklers are all tested at 500 lb., consequently they can never leak, and cannot possibly be opened, except by heat, by any one. As the entire sprinkler is covered by a heavy brass cap, soldered on, it cannot by any means be injured, nor can the openings in the revolving head ever become filled with dust.

PARMELEE'S PATENT AUTOMATIC SPRINKLER.
FIG.2--Sprinkler with cap off.

It is so simple as to be easily understood by any one. As soon as the sprinkler becomes heated to 155 degrees, the cap will become unsoldered, and will then immediately be blown entirely off by the force of the water in the pipes and sprinkler. These caps cannot remain on after the fusible metal melts, if there is the least force of water. A man's breath is sufficient to blow them off.

The arrangement commences with one or more main supply pipes, either fed from a city water pipe or from a tank, as the situation will admit. If desired, the tank need only be of sufficient size to feed a few sprinklers for a short time, and then dependence must be placed upon a pump for a further supply of water, if necessary. The tank, however small, will insure the automatic and prompt working of the sprinklers and alarm, and by the time the tank shall become empty the pumps can be got at work. It is most desirable, however, in all cases to have an abundant water supply without resorting to pumps, if it is possible.

In the main supply pipe or pipes is placed our patent alarm valve, which, as soon as there is any motion of the water in the pipe, opens, and moves a lever, which, by connecting with a steam whistle valve by means of a wire, will blow the whistle and will continue to do so until either the steam or the water is stopped. Tins constitutes the alarm, and is positive in its motion. No water can possibly flow from the line of pipes without opening this valve and blowing the whistle. We also put in an automatic alarm bell when desired.

From the main pipe other pipes are run, generally lengthways of the building, ten feet from each side and twenty feet apart. At every ten feet on these pipes we place five feet of three-quarter inch pipe, reaching each side, at the end of which is placed the sprinkler in an elbow pointing toward the ceiling. This arrangement is as we place them in all cotton and woolen mills, but may be varied to suit different styles of buildings.

The sprinkler is made of brass, and has a revolving head, with four slots, from which the water flies in a very fine and dense spray on everything, and filling the air very completely for a radius of seven or eight feet all around; thus rendering the existence of any fire in that space perfectly impossible; and as the sprinklers are only placed ten feet apart, and a fire cannot start at a greater distance than from five to six feet from one or more of them, it is assured that all parts of a building are fully protected.

Over each one of these sprinklers is placed a brass cap, which fits closely over and passes below the base, where it is soldered on with a fusible metal that melts as soon as it is heated to 155 degrees.

As soon as a fire starts in any part of a building, heat will be generated and immediately rise toward the ceiling, and the sprinkler nearest the fire will become heated in a very few moments to the required 155 degrees, when the cap will become loosened and will be forced off by the power of the water. The water will then be spread in fine spray on the ceiling over the fire, also directly on the fire and all around for a diameter of from fourteen to eighteen feet. This spray has been fully tried, and it is found to be entirely sufficient to extinguish any fire within its reach which can be made of any ordinary materials.

As soon as the cap on any sprinkler becomes loosened by the heat of a fire and is forced off, a current of water is produced in the main pipe where the alarm valve is placed, and as the passage through it is dosed, the water cannot pass without opening the valve and thus moving the lever to which the steam whistle valve is attached; by this motion the whistle valve is opened, and the whistle will blow until it is stopped by some one."


INSTRUMENT FOR DRAWING CONVERGING STRAIGHT LINES.

[Footnote: Paper by Prof. Fr. Smigaglia, read at the reunion of the Engineers and Architects of Rome.]

1. LET A and B be two fixed points and A C and C B two straight lines converging at C and moving in their plane so as to always remain based on this point (Fig. 1). The geometrical place of the positions occupied by C is the circumference of the circle which passes through the three points A, B, and C. Now let C F be a straight line passing through C. On prolonging it, it will meet the circumference A C B I at a point I. If the system of three converging--lines takes a new position A C' F B, it is evident F' B' prolonged will pass through I, because the angles α and β are invariable for any position whatever of the system.

Fig. 1.

Fig. 1.

2. In the particular case in which α = β (Fig. 2), the point I is found at the extremity of the diameter, and, consequently, for a given distance A B, or for a given length C D, such point will be at its maximum distance from C.

Fig. 2.

Fig. 2.

3. This granted, it is easy to construct an instrument suitable for drawing converging lines which shall prove useful to all those who have to do with practical perspective. For this purpose it is only necessary to take three rulers united at C (Fig. 3), to rest the two A C and C B against two points or needles A and B, and to draw the lines with the ruler C F, in placing the system (§ 1) in all positions possible. The three rulers may be inclined in any way whatever toward each other, but (§ 2) it is preferable to take the case where α = β.

Fig. 3.

Fig. 3.

4. Let us suppose that the instrument passes from the position I to position III (Fig. 4). Then the ruler C A will come to occupy the position B A, from the fact that the instrument, continuing to move in the same direction, will roll around the point B. It is well, then, to manage so that the system shall have another point of support. For that reason I prolong C B, take B C' = B C, draw C' I, and describe the circumference--the geometrical place of the points C'. I take C' D = C' B and obtain at D the position of the fixed point at which the needle is inserted. In Fig. 4 are represented different positions of the instrument; and it may be seen that all the points C C', and the centers O O', are found upon the circumferences that have their center at I.

Fig. 4.

Fig. 4.

5. The manipulation and use of the instrument are of the simplest character. Being given any two straight converging lines whatever, α β and γ δ (Fig. 5), in order to trace all the others I insert a needle at A and arrange the instrument as seen at S. I draw A B and A B', and from there carry it to S' in such a way that the ruler being on γ δ, one of the resting rulers passes through A. I draw the line C B which meets A B at the point B, the position sought for the second needle. In order to draw the straight lines which are under α β, it is only necessary to hold the needle A in place and to fix one at B', making A B' = A B. In this case S" indicates one of the positions of the instrument.

Fig. 5.

Fig. 5.

6. The point A was chosen arbitrarily, but it is evident that that of the needles depends on its distance from the point of convergence. Thus, on taking A' instead of A in the case of Fig. 3, they approach, while the contrary happens on choosing the point A". It is clear that the different positions that a needle A may take are found on a straight line which runs to the point of meeting.

7. If the instrument were jointed or hinged at C, that is to say, so that we could at will modify the angle of the resting ruler, we might make the position of the needles depend on such angle, and conversely.

8. Being given the length C I (Fig. 6), to establish the position of the needles so that all the lines outside of the sheet shall converge at I. To do this, it is well to determine C D, and then to draw the straight line A D B perpendicular to C I, so as to have at A and B the points at which the needles must be placed.

Fig. 6.

Fig. 6.

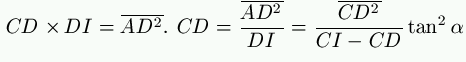
ThenCD \times DI = \overline{AD^2}.\ CD = \frac{\overline{AD^2}}{DI} = \frac{\overline{CD^2}}{CI-CD} \tan^2 \alpha

whence CD = \frac{CI}{I + \tan^2 \alpha}\ \text{or}\ CD = CI \cos^2 \alpha. (1)

9. If the instrument is jointed, the absolute values being

AD = \sqrt{CD(CI - CD)} (2)

it suffices to take for CD a suitable value and to calculate AD.

If, for example, the value of C D is represented by C D', the instrument takes the position A' C B', and the needles will be inserted at A' and B' on the line A' D' B', which is perpendicular to C I.

10. If the position of the instrument, and consequently that of the needles, has been established, and we wish to know the distance C I, we will have

CI = \frac{CD}{\cos^2 \alpha} (3)

or, again,

CI = \frac{\overline{AC^2}}{CD'} (4)

11. In order to avoid all calculation, we may proceed thus: If I wish to arrange the instrument so that C I represents a given quantity (§ 8), I take (Fig. 7) the length Ci = CI/n, where n is any entire number whatever.

Fig. 7.

Fig. 7.

In other terms, Ci is the reduction to the scale of CI.

I describe the circumference C b i a, and arrange the instrument as seen in the figure, and measure the length C b.

It is visible that

  C i     1     C b     C d
 ----- = --- = ----- = ------; then C B = n.C b   (5)
  C I     n     C B     C D
  CD = n.C d;   (6)

and, consequently, the position of the needles which are found at A and B are determined.

12. The question treated in § 10, then, is simply solved. In fact, on describing the circumference C b i a with any radius whatever, I shall have

       C B
  n = -----;      (7)
       c b

and, consequently,

  C I = n.C i     (8)

13. As may be seen, the instrument composed of three firmly united rulers is the simplest of all and easy to use. Any one can construct it for himself with a piece of cardboard, and give the angle 2 α the value that he thinks most suitable for each application. The greater 2 α is, the shorter is the distance at which we should put the needles for a given point of meeting.

14 The jointed instrument may be constructed as shown in Figs 8, 9, and 10. The three pieces, A. B, and C, united by a pivot, O, in which there is a small hole, are of brass or other metal. Rulers may be easily procured of any length whatever. The instrument is Y-shaped. In the particular case in which α = 180° it becomes T-shaped, and serves to draw parallel lines.

Fig. 8, Fig. 9, Fig. 10

Fig. 8, Fig. 9, Fig. 10

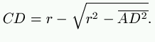
15. The instrument may be used likewise, as we have seen, to draw arcs of circles of the diameter C I or of the radius A O = r, whose center o falls outside the paper. The pencil will be rested on C. We may operate as follows (Fig. 2): Being given the direction of the radii A O and B O, or, what amounts to the same thing, the tangents to the curve at the given points, A and B to be united, we draw the line A D and raise at its center the perpendicular D C, which, prolonged, passes necessarily through the center. It is necessary to calculate the length C D.

We shall have

CD (2r - CD) = \overline{AD^2}.\overline{CD^2} - 2r.CD + \overline{AD^2} = o.

CD = r ± \sqrt{r^2 - \overline{AD^2}}.

It is evident that the lower sign alone suits our case, for d < r; consequently,

CD = r - \sqrt{r^2 - \overline{AD^2}}. (9)

Having obtained C, we put the instrument in the direction A B C. Then each point of C F describes a circumference of the same center o.

16. If the distance of the points A and B were too great, then it would be easy to determine a series of points belonging to the arc of circumference sought (Fig. 4).

Being given C, the direction C I, and C I = R, on C I I lay off C E = d, draw A E B perpendicularly, and calculate C A or A E. I shall have

d = (R - d) = \overline{AE^2};

or, as absolute value,

AE = \sqrt{d (R-d)} (10)

The instrument being arranged according to A C B, I prolong C B and take B C' = B C, when C' will be one of the points sought. It will be readily understood how, by repeating the above operations, but by varying the value of d, we obtain the other intermediate points, and how we may continue the operation to the right of C' with the process pointed out.

17. If the three rulers were three arcs of a large circle of a sphere, the instrument might serve for drawing the meridians on such sphere.

18. If we imagine, instead of three axes placed in one plane and converging at one point, a system of four axes also converging in one point, but situated in any manner whatever in space, and if we rest three of them against three fixed points, we shall be able to solve in space problems analogous to those that have just been solved in a plane. If we had, for example, to draw a spherical vault whose center was inaccessible, we might adopt the same method.--Le Génie Civil.


FEED-WATER HEATER AND PURIFIER.

[Footnote: A paper read before the Franklin Institute.]

By GEORGE S. STRONG.

In order to properly understand the requirements of an effective feed-water purifier, it will be necessary to understand something of the character of the impurities of natural waters used for feeding boilers, and of the manner in which they become troublesome in causing incrustation or scale, as it is commonly called, in steam boilers. All natural waters are known to contain more or less mineral matter, partly held in solution and partly in mechanical suspension. These mineral impurities are derived by contact of the water with the earth's surface, and by percolation through its soil and rocks. The substances taken up in solution by this process consist chiefly of the carbonates and sulphates of lime and magnesia, and the chloride of sodium. The materials carried in mechanical suspension are clay, sand, and vegetable matter. There are many other saline ingredients in various natural waters, but they exist in such minute quantities, and are generally so very soluble, that their presence may safely be ignored in treating of the utility of boiler waters.

Of the above named salts, the carbonates of lime and magnesia are soluble only when the water contains free carbonic acid.

Our American rivers contain from 2 to 6 grains of saline matter to the gallon in solution, and a varying quantity--generally exceeding 10 grains to the gallon--in mechanical suspension. The waters of wells and springs hold a smaller quantity in suspension, but generally carry a larger percentage of dissolved salts in solution, varying from 10 to 650 grains to the gallon.

When waters containing the carbonates of lime and magnesia in solution are boiled, the carbonic acid is driven off, and the salts, deprived of their solvent, are rapidly precipitated in fine crystalline particles, which adhere tenaciously to whatever surface they fall upon. With respect to the sulphate of lime, the case is different. It is at best only sparingly soluble in water, one part (by weight) of the salt requiring nearly 500 parts of water to dissolve it. As the water evaporates in the boiler, however, a point is soon reached where supersaturation occurs, as the water freshly fed into it constantly brings fresh accessions of the salt; and when this point is reached, the sulphate of lime is precipitated in the same form and with the same tenaciously adherent quality as the carbonates. There is, however, a peculiar property possessed by this salt which facilitates its precipitation, namely, that its solubility in water diminishes as the temperature rises. This fact is of special interest, since, if properly taken advantage of, it is possible to effect its almost complete removal from the feed-water of boilers,

There is little difference in the solubility of the sulphate of lime until the temperature has risen somewhat above 212° Fahr., when it rapidly diminishes, and finally, at nearly 300°, all of this salt, held in solution at lower temperatures, will be precipitated when the temperature has risen to that point. The following table[1] represents the solubility of sulphate of lime in sea water at different temperatures:

  Temperature.                 Percentage Sulph.
   Fahr.                      Lime held in Solution.
    217°                              0.500
    219°                              0.477
    221°                              0.432
    227°                              0.395
    232°                              0.355
    236°                              0.310
    240°                              0.267
    245°                              0.226
    250°                              0.183
    255°                              0.140
    261°                              0.097
    266°                              0.060
    271°                              0.023
    290°                              0.000

[Footnote 1: Vide Burgh, "Modern Marine Engineering," page 176 et seq. M. Cousté, Annales des Mines V 69. Recherches sur Vincrustation des Chaudières a vapour. Mr. Hugh Lee Pattison, of Newcastle-on-Tyne, at the meeting of the Institute of Mechanical Engineers of Great Britain, in August, 1880, remarked on this subject that "The solubility of sulphate of lime in water diminishes as the temperature rises. At ordinary temperatures pure water dissolves about 150 grains of sulphate of lime per gallon; but at a temperature of 250° Fahr., at which the pressure of steam is equal to about 2 atmospheres, only about 40 grains per gallon are held in solution. At a pressure of 3 atmospheres, and temperature of 302° Fahr., it is practically insoluble. The point of maximum solubility is about 95° Fahr. The presence of magnesium chloride, or of calcium chloride, in water, diminishes its power of dissolving sulphate of lime, while the presence of sodium chloride increases that power. As an instance of the latter fact, we find a boiler works much cleaner which is fed alternately with fresh water and with brackish water pumped from the Tyne when the tide is high than one which is fed with fresh water constantly."]

These figures hold substantially for fresh as well as for sea water, for the sulphate of lime becomes wholly insoluble in sea water, or in soft water, at temperatures comprised between 280° and 300° Fahr.

It appears from this that it is simply necessary to heat water up to a temperature of 250° in order to effect the precipitation of four fifths of the sulphate of lime it may have contained, or to the temperature of 290° in order to precipitate it entirely. The bearing of these facts on the purification of feed-waters will appear further on. The explanation offered to account for the gradually increasing insolubility of sulphate of lime on heating, is, that the hydrate, in which condition it exists in solution, is partially decomposed, anhydrous calcic sulphate being formed, the dehydration becoming more and more complete as the temperature rises. Sulphate of magnesia, chloride of sodium (common salt), and all the other more soluble salts contained in natural waters are likewise precipitated by the process of supersaturation, but owing to their extreme solubility their precipitation will never be effected in boilers; all mechanically suspended matter tends naturally to subside.

Where water containing such mineral and suspended matter is fed to a steam boiler, there results a combined deposit, of which the carbonate of lime usually forms the greater part, and which remains more or less firmly adherent to the inner surfaces of the boiler, undisturbed by the force of the boiling currents. Gradually accumulating, it becomes harder and thicker, and, if permitted to accumulate, may at length attain such thickness as to prevent the proper heating of the water by any fire that may be maintained in the furnace. Dr. Joseph G. Rogers, who has made boiler waters and incrustations a subject of careful study, declares that the high heats necessary to heat water through thick scale will sometimes actually convert the scale into a species of glass, by combining the sand, mechanically separated, with the alkaline salts. The same authority has carefully estimated the non-conducting properties of such boiler incrustations. On this point he remarks that the evil effects of the scale are due to the fact that it is relatively a nonconductor of heat. As compared with iron, its conducting power is as 1 to 37½, consequently more fuel is required to heat water in an incrusted boiler than in the same boiler if clean. Rogers estimates that a scale 1-16th of an inch thick will require the extra expenditure of 15 per cent. more fuel, and this ratio increases as the scale grows thicker. Thus, when it is one-quarter of an inch thick, 60 per cent. more fuel is needed; one-half inch, 112 per cent. more fuel, and so on.

Rogers very forcibly shows the evil consequences to the boiler from the excessive heating required to raise steam in a badly incrusted boiler, by the following illustration: To raise steam to a pressure of 90 pounds the water must be heated to about 320° Fahr. In a clean boiler of one-quarter inch iron this may be done by heating the external surface of the shell to about 325° Fahr. If, now, one-half an inch of scale intervenes between the boiler shell and the water, such is its quality of resisting the passage of heat that it will be necessary to heat the fire surface to about 700°, almost to a low red heat, to effect the same result. Now, the higher the temperature at which iron is kept the more rapidly it oxidizes, and at any heat above 600° it very soon becomes granular and brittle, and is liable to bulge, crack, or otherwise give way to the internal pressure. This condition predisposes the boiler to explosion and makes expensive repairs necessary. The presence of such scale, also, renders more difficult the raising, maintaining, and lowering of steam.

The nature of incrustation and the evils resulting therefrom having been stated, it now remains to consider the methods that have been devised to overcome them. These methods naturally resolve themselves into two kinds, chemical and mechanical. The chemical method has two modifications; in one the design is to purify the water in large tanks or reservoirs, by the addition of certain substances which shall precipitate all the scale-forming ingredients before the water is fed into the boiler; in the other the chemical agent is fed into the boiler from time to time, and the object is to effect the precipitation of the saline matter in such a manner that it will not form solid masses of adherent scale. Where chemical methods of purification are resorted to, the latter plan is generally followed as being the least troublesome. Of the many substances used for this purpose, however, some are measurably successful; the majority of them are unsatisfactory or objectionable.

The mechanical methods are also very various. Picking, scraping, cleaning, etc., are very generally resorted to, but the scale is so tenacious that this only partially succeeds, and, as it necessitates stoppage of work, it is wasteful. In addition to this plan, a great variety of mechanical contrivances for heating and purifying the feed-water, by separating and intercepting the saline matter on its passage through the apparatus, have been devised. Many of these are of great utility and have come into very general use. In the Western States especially, where the water in most localities is heavily charged with lime, these mechanical purifiers have become quite indispensable wherever steam users are alive to the necessity of generating steam with economy.

Most of these appliances, however, only partly fulfill their intended purposes. They consist essentially of a chamber through which the feed-water is passed, and in which it is heated almost to the boiling point by exhaust steam from the engine. According to the temperature to which the water is heated in this chamber, and the length of time required for its passage through the chamber, the carbonates are more or less completely precipitated, as likewise the matter held in mechanical suspension. The precipitated matter subsides on shelves or elsewhere in the chamber, from which it is removed from time to time. The sulphate of lime, however, and the other soluble salts, and in some cases also a portion of the carbonates that were not precipitated during the brief time of passage through the heater, are passed on into the boiler.

Appreciating this insufficiency of existing feed-water purifiers to effectually remove these dangerous saline impurities, the writer in designing the feed-water heater now to be described paid special attention to the separation of all matters, soluble and insoluble; and he has succeeded in passing the water to the boilers quite free from any substance which would cause scaling or coherent deposit. His attention was called more particularly to the necessity of extreme care in this respect, through the great annoyance suffered by steam users in the Central and Western States, where the water is heavily charged with lime. Very simple and even primitive boilers are here used; the most necessary consideration being handiness in cleaning, and not the highest evaporative efficiency. These boilers are therefore very wasteful, only evaporating, when covered with lime scale, from two to three pounds of water with one pound of the best coal, and requiring cleansing once a week at the very least. The writer's interest being aroused, he determined, if possible, to remedy these inconveniences, and accordingly he made a careful study of the subject, and examined all the heaters then in the market. He found them all, without exception, insufficient to free the feed-water from the most dangerous of impurities, namely, the sulphate and the carbonate of lime.

Taking the foregoing facts, well known to chemists and engineers, as the basis of his operations, the writer perceived that all substances likely to give trouble by deposition would be precipitated at a temperature of about 250° F.

His plan was, therefore, to make a feed-water heater in which the water could be raised to that temperature before entering the boiler. Now, by using the heat from the exhaust steam the water may be raised to between 208° and 212° F. It has yet to be raised to 250° F.; and for this purpose the writer saw at once the advantage that would be attained by using a coil of live steam from the boiler. This device does not cause any loss of steam, except the small loss due to radiation, since the water in any case would have to be heated up to the temperature of the steam on entering the boiler. By adopting this method, the chemical precipitation, which would otherwise occur in the boiler, takes place in the heater; and it is only necessary now to provide a filter, which shall prevent anything passing that can possibly cause scale.

Having explained as briefly as possible the principles on which the system is founded, the writer will now describe the details of the heater itself.

In Figs. 1 and 2 are shown an elevation and a vertical section of the heater. The cast-iron base, A, is divided into two parts by the diaphragm, B. The exhaust steam enters at C, passes up the larger tubes, D, which are fastened into the upper shell of the casting, returns by the smaller tubes, E, which are inside the others, and passes away by the passage, F. The inner tube only serves for discharge. It will be seen at once that this arrangement, while securing great heating surface in a small space, at the same time leaves freedom for expansion and contraction, without producing strains. The free area for passage of steam is arranged to be one and a half times that of the exhaust pipe, so that there is no possible danger of back pressure. The wrought iron shell, G, connecting the stand, A, with the dome, H, is made strong enough to withstand the full boiler pressure. An ordinary casing, J, of wood or other material prevents loss by radiation of heat. The cold water from the pump passes into the heater through the injector arrangement, K, and coming in contact with the tubes, D, is heated; it then rises to the coil, L, which is supplied with steam from the boiler, and thus becomes further heated, attaining there a temperature of from 250° to 270° F., according to the pressure in the boiler. This high temperature causes the separation of the dissolved salts; and on the way to the boiler the water passes through the filter, M, becoming thereby freed from all precipitated matter before passing away to the boiler at N. The purpose of the injector, K, and the pipe passing from O to K, is to cause a continual passage of air or steam from the upper part of the dome to the lower part of the heater, so that any precipitate carried up in froth may be again returned to the under side of the filter, in order more effectually to separate it, before any chance occurs of its passing into the boiler.

FIG. 1.--Elevation. FIG. 2.--Vertical Section

FIG. 1.--Elevation. FIG. 2.--Vertical Section

The filter consists of wood charcoal in the lower half and bone black above firmly held between two perforated plates, as shown. After the heater has been in use for from three to ten hours, according to the nature of the water used, it is necessary to blow out the heater, in order to clear the filter from deposit. To do this, the cock at R is opened, and the water is discharged by the pressure from the boiler. The steam is allowed to pass through the heater for some little time, in order to clear the filter completely. After this operation, all is ready to commence work again. By this means the filter remains fit for use for months without change of the charcoal.

Where a jet condenser is used, either of two plans may be adopted. One plan takes the feed-water from the hot well and passes the exhaust from the feed pumps through the heater, using at the same time an increased amount of coil for the live steam. By this means a temperature of water is attained high enough to cause deposition, and at the same time to produce decomposition of the oil brought over from the cylinders. The other plan places the heater in the line of exhaust from the engine to the condenser, also using a larger amount of coil. Both these methods work well. The writer sometimes uses the steam from the coil to work the feed pump; or, if the heater stands high enough, it is only necessary to make a connection with the boiler, when the water formed by the condensation of the steam runs back to the boiler, and thus the coil is kept constantly at the necessary temperature.

In adapting the heater to locomotives, we were met with the difficulty of want of space to put a heater sufficiently large to handle the extremely large amount of water evaporated on a locomotive worked up to its full capacity, being from 1,500 to 2,500 gallons per hour, or from five hundred to one thousand h.p. We designed various forms of heaters and tried them, but have finally decided on the one shown in the engraving, Fig. 3, which consists of a lap welded tube, 13 inches internal diameter, 12 feet long, with a cast-iron head which is divided into two compartments or chambers by a diaphragm. Into this head are screwed 60 tubes, one inch outside diameter and 12 feet long, which are of seamless brass. These are the heating tubes, within which are internal tubes for circulation only, which are screwed into the diaphragm and extend to within a very short distance of the end of the heating tube. The exhaust steam for heating is taken equally from both sides of the locomotive by tapping a two-inch nipple with a cup shaped extension on it in such a way as to catch a portion of the exhaust without interfering with the free escape of the steam for the blast, and without any back pressure, as it relieves the back pressure as much as it condenses. The pipe from one side of the engine is connected with the chamber into which the heating tubes are screwed, and is in direct communication with them. The pipe from the other side is connected with the chamber into which the circulating tubes are screwed. The beat of the exhaust, working, as it does, on the quarters, causes a constant sawing or backward and forward circulation of steam without any discharge, and only the condensation is carried off.

The water is brought from the pump and discharged into the lower side of the heater well forward, and passes around the heating tubes to the end, when it is discharged into a pipe that carries it forward, either direct to the check or into the purifier, which is located between the frames under the boiler, and consists of a chamber in which are arranged a live steam coil and a filter above the coil. The water coming in contact with the coil, its temperature is increased from the temperature of the exhaust, 210°, to about 250° Fahr., which causes the separation of the lime salts as before described, and it then passes through the filter and direct to the boiler from above the filter, which is cleansed by blowing back through it as before described.

One of these heaters lately tested showed a saving in coal of 22 per cent, and an increase of evaporation of 1.09 pounds of water per pound of coal.--Franklin Journal.


MONTEVERDE'S STATUE OF ARCHITECTURE.

This precious statue forms the noble figure that adorns the monument erected to the memory of the architect Carles Sada, who died in 1873. This remarkable funereal monument is 20 feet high, the superior portion consisting of a sarcophagus resting upon a level base. Upon this sarcophagus is placed the statue of "La Architectura," which we reproduce, and which well exemplifies the genius of the author and sculptor, Juli Monteverde.--La Ilustració Catalana.

LA ARCHITECTURA.--STATUE BY JULI MONTEVERDE.

ERECTED IN MEMORY OF THE ARCHITECT, CARLES SADA.


DESIGN FOR A GARDENER'S COTTAGE.

The illustration shows a gardener's cottage recently erected at Downes, Devonshire, the seat of Colonel Buller, V.C., C.B, C.M.G., from the designs of Mr. Harbottle, A.R.I.B.A., of Exeter. It is built of red brick and tile, the color of which and the outline of the cottage give it a picturesque appearance, seen through the beautiful old trees in one of the finest parks in Devonshire.--The Architect.

Gardener's Cottage at DOWNES for Colonel Buller V.C., C.B., C.M.G., E.H. Harbottle
Architect


PAPER MAKING "DOWN EAST."

Writing from Gilbertville, a Lewiston journal correspondent says: Gilbertville, a manufacturing community in the town of Canton, twenty-five miles from Lewiston, up the Androscoggin, is now a village of over 500 inhabitants, where three years ago there was but a single farmhouse. If a town had sprung into existence in a far Western State with so much celerity, the phenomenon would not be considered remarkable, perhaps; but growths of this kind are not indigenous to the New England of the present era. Gilbertville has probably outstripped all New England villages in the race of the past three years. It is only one of the signs that old Maine is not dead yet.

Gilbert Brothers erected a saw mill here three years ago. A year later, the Denison Paper Manufacturing Company, of Mechanic Falls, erected a big pulp mill, which, also, the town voted to exempt from taxation for ten years. The mills are valuable companions for each other. The pulp mill utilizes all the waste of the saw mill. A settlement was speedily built by the operatives. Gilbertville now boasts of a post-office, a store, several large boarding houses, a nice school house, and over 500 inhabitants. The pulp mill employs seventy men. It runs night and day. It manufactures monthly 350 cords of poplar and spruce into pulp. It consumes monthly 500 cords of wood for fuel, 45 casks of soda ash, valued at $45 per cask, nine car loads of lime, 24,000 pounds to the car. It produces 1,000,000 pounds of wet fiber, valued at about $17,000, monthly. The pay roll amounts to $3,500 per month.

The larger part of the stock used by the mill consists of poplar logs floated down the Androscoggin and its tributaries. One thousand two hundred cords of poplar cut in four-foot lengths are piled about the mill; and a little further up the river are 5,000 cords more. The logs are hauled from the river and sawed into lengths by a donkey engine, which cuts about sixty cords per day, and pulls out fourteen logs at a time. All the spruce slabs made by the saw mill are used with this poplar. The wood is fed to a wheel armed with many sharp knives. It devours a cord of wood every fifteen minutes. The four-foot sticks are chewed into fine chips as rapidly as they can be thrust into the maw of the chopper. They are carried directly from this machine to the top of the mill by an endless belt with pockets attached. There are hatchways in the attic floor, which open upon rotary iron boilers. Into these boilers the chips are raked, and a solution of lime and soda ash is poured over them.

This bath destroys all the resinous matter in the wood, and after cooking five hours the chips are reduced to a mass of soft black pulp. Each rotary will contain two cords of chips. After the cooking, the pulp is dumped into iron tanks in the basement, where it is thoroughly washed with streams of clean cold water. It is then pumped into a machine which rolls it into broad sheets. These sheets are folded, and condensed by a hydraulic press of 200 tons pressure. This process reduces its bulk fifty per cent., and sends profuse jets of water flying out of it. The soda ash, in which, mixed with lime and water, the chips are cooked, is reclaimed, and used over and over again. The liquor, after it has been used, is pumped into tanks on top of large brick furnaces. As it is heated, it thickens. It is brought nearer and nearer the fire until it crystallizes, and finally burns into an ash. Eighty per cent. of the ash used is thus reclaimed. This process is an immense saving to the pulp manufacturers. The work in the pulp mill is severe, and is slightly tinged with danger.

Three thousand four hundred pounds of white ash to 2,100 pounds of lime are the proportions in which the liquor in each vat is mixed. One does not envy the lot of the stout fellows who crawl into the great rotaries to stow away the chips. The hurry of business is so great that they cannot wait for these boilers to cool naturally, after they have cooked one batch, before putting in another. So they have a fan pump, to which is attached a canvas hose, and with this blow cooling air currents into the boiler, or "rotary," as they call it. The rotary is subjected to an immense pressure, and is very stoutly made of thick iron plates, bolted together.

Describing the business as carried on at Mechanic Falls, the same paper says: There are six of these mills on the three dams over which the Little Androscoggin falls. These are the Eagle, the Star, the Diamond, the Union, the pulp, and the super calendering mills. The Eagle and the Star mills run on book papers of various grades. The Union mill runs on newspaper. The old Diamond mill now prepares pulp stock. The pulp mill does nothing but bleach the rag pulp and prepare for the machines in the other mills; while the super-calendering mill gives the paper an extra finish when ordered. There is practically but one series of processes by which the paper is made in the various mills.

It is a curious fact that America is not ragged enough to produce the requisite amount of stock for its own paper mills. Nearly all the rags used by the Denison Mills (and by others in various parts of the country as well) are imported from the old countries. All the rags first go through the "duster." This is a big cylindrical shell of coarse wire netting. It is rapidly revolved, while a screw running through its center is turned in the opposite direction. Air currents are forced through it by a power fan. The rags are continuously fed into one end of this shell, which is about ten feet long and four feet in diameter. The screw forces them through the whole length of the shell, while they are kept buzzing around and subjected to breezes which blow thick clouds of dirt and dust out of them. The air of the room is thick with European and Asiatic earth. It is swept up in great rolls on the floor. The man who operates the duster should have leather lungs.

Overhead is a long room where thirty girls are busily sorting the rags for the various grades of papers. That the dusting machine is no more perfect than a human machine is evinced by the murky atmosphere of this room, by the particles that lodge in the throat of the visitor, and by the frequent coughing of the sorters. They protect their hair with turbans of veiling, occasionally decorated with a bit of bright color. These turbans give the room the appearance of an industrious Turkish harem. Short, sharp scythe blades, like Turkish scimeters, gleam above all the girls' benches. When a sorter wishes to cut a rag, she pulls it across the edge of this blade, and is not obliged to hunt for a pair of shears.

Curious discoveries are frequently made in the rags. Old pockets, containing small sums of money, are occasionally found. A foreign coin valued at about $3 was found a few days ago. In the paper stock, quaint and valuable old books or pictures are found often. One of the workmen has a museum composed of curiosities found amid the rags and shreds of paper. Rev. Dr. Bolles, of Massachusetts, makes an annual pilgrimage to Mechanic Falls for the sake of the rare old pamphlets, books, and engravings that he may dig out.

Stuffed in hogsheads, the rags are lowered from this room through a hatchway, and are given a red hot lime bath. They are placed in ponderous cylinders of boiler iron, which revolve horizontally in great gears high above the floor. A mixture of lime and water, which has been prepared in large brick vats, is poured over them. An iron door, secured by huge bolts, is closed on them. The cylinder slowly turns around, and churns the rags in the lime-juice twelve hours. This process is called bleaching. When the rags come out they are far from white, however. They are of a uniform dirty brown hue. But the colors have lost their gripe. When the rags shall have been submitted to the grinding and washing in pure water, as we shall see them presently, they are easily whitened. The lime bath is the purgatory of the paper stock.

Before we go any further, we must see what becomes of those soft and lop-sided bundles which are going into the mills. These contain chemically prepared wood fiber, a certain percentage of which is used in nearly all the papers made now. It gives the paper a greater body, although its fiber is not so strong as that made of rags. The pulp comes down from Canton in soft brown sheets. These are at once bleached. The brown fiber is placed in a bath of cold water and chlorate of lime. There it quietly rests till a sediment settles at the bottom of the tank. At an opportune moment the workman pours in a copious libation of boiling water. This causes the escape of the chlorine gas, which destroys all the color in the pulp. In half an hour it comes out, a mass of smoking fibers as white as a snow heap. The drainers into which it goes are large pens with perforated tile floors. The pulp remains in the drainers till it so dry it is handled with a pitchfork.

We are now ready to look at the beating machines, which have to perform a very important part in paper making. These are large iron tanks with powerful grinders revolving in them. Barrow loads of the brown rags are dumped into them, and clear cold water is poured in. The grinders are then started. They chew the rags into fine bits. They keep the mass of rags and water circulating incessantly in the tanks. Clean water constantly flows in and dirty water as constantly flows out. In the course of six hours the rags are reduced to a perfectly white pulpy mass. There is one mill, as we have said, devoted exclusively to the reduction of rags to this white pulp. It is dried in drainers such as we saw a few moments ago filled with the wood fiber.

There are other beating machines just like these, which perform a slightly different service. Their function may be compared to that of an apothecary's mortar or a cook's mixing dish. The white rag stock and the white wood fiber are mixed in these, in the required proportions. At this stage, the pulp is adulterated with China clay, to give it substance and weight; here the sizing (composed of resin and sal soda) is put in; oil of vitriol, bluing, yellow ocher, and other chemicals are added, to whiten or to tint the paper. These beaters are much like so many soup kettles. Upon the kind, number, and proportion of the ingredients depends the nature of the product. The percentages of rag pulp, wood pulp, clay, coloring, etc., used, depend upon the quality of paper ordered.

After the final beating, the mixture descends into a large reservoir called the "stuff chest," whence it is pumped to the paper machine. The pulp is of the consistency of milk when it pours from the spout of the pumps on the paper machine. The latter is a complicated series of rollers, belts, sieves, blankets, pumps, and gears, one hundred feet long. To describe it or to understand a description of it would require the vocabulary and the knowledge of a scientist. The milky pulp first passes over a belt of fine wire cloth, through which the water partly drains. It is ingeniously made to glide over two perforated iron plates, under which pumps are constantly sucking. You can plainly see the broad sheet of pulp lose its water and gain thickness as it goes over these plates. Broad, blanket-like belts of felt take it and carry it over and between large rolling cylinders filled with hot steam. These dry and harden it into a sheet which will support itself; and without the aid of blankets it winds among iron rolls, called calenders, which squeeze it and give it surface. It is wound upon revolving reels at the end of the machine.

If a better surface or gloss is required, it is carried to the super calendering mill, where it is steamed and subjected to a long and circuitous journey up and down tall stands of calenders upon calenders. The paper is cut by machines having long, winding knives which revolve slowly and cut, on the scissors principle--no two points of the blade bearing on the paper with equal pressure at once. Girls pack the sheets on the tables as they fall from the cutters, and throw out the damaged or dirtied sheets. A small black spot or hole or imperfection of any sort is sufficient to reject a sheet. In some orders fifty per cent. of the sheets are thrown out. There is no waste, as the damaged paper is ground into pulp again. Having been cut, the paper must be counted and folded. Then it is packed into bundles for shipment. The young lady who does the counting and folding is the wonder of the mill. Giving the sheets a twist with one hand so as to spread open the edges, she gallops the fingers of the other hand among them; and as quickly as you or I could count three, she counts twenty-four and folds the quire. She takes four sheets with a finger and goes her whole hand and one finger more; thus she gets twenty-four sheets. Long practice is required to do the counting rapidly and accurately. Twenty-four sheets, no more and no less, are always found in her quires.

Papers of different grades are made of different stock, but by the same process. Some paper stock is used. This must be bleached in lime and soda ash. There are powerful steam engines in the mills for use when the water is low. There are large furnaces and boilers which supply the steam used in the processes.

The Messrs. Denison employ 175 hands at Mechanic Falls. Their pay roll amounts to about $5,000 per month. The mills produce 350,000 pounds of paper per month and they ship several car-loads of prepared wood-pulp, in excess of that required for their own use, weekly. The annual value of their product is not far from $300,000. They use, for sundries, each month, 300 tons of coal, 100 casks of common lime, 250 gallons of burning-oil, 28,000 pounds of chlorate of lime, 3,700 pounds of soda ash. 10,000 pounds of resin. 24,000 pounds of sal soda, 22,000 pounds of oil of vitriol, 22,000 pounds of China clay, etc.


WHEAT-MEAL BREAD AS A MEANS OF DIMINISHING TUBERCULAR DISEASE.

By M. YATES, Hon. Sec. Bread Reform League, London.

It is well recognized that defective mineral nutrition is an important factor in the production of rickets and bad teeth, but as its influence in predisposing toward tuberculous disease is not so clearly ascertained, will you kindly allow public attention to be directed to a statement which was discussed at the Social Science and Sanitary Congresses and which, if confirmed by further scientific research, indicates a simple means of diminishing consumption, which, as Dr. William Fair, F.R.S., says, "is the greatest, the most constant, and the most dreadful of all the diseases that affect mankind." In "Phosphates in Nutrition," by Mr. M.F. Anderson, it is stated that although the external appearances and general condition of a body when death has occurred from starvation are very similar to those presented in tuberculous disease, in starvation, "from wasting of the tissues, caused by the combustion of their organic matter, there would be an apparent increase in the percentage proportion of mineral matter; on the other hand, in tubercular disease, there would be a material decrease in the mineral matter as compared with the general wasting." Analyses, made by Mr. Anderson, of the vascular tissues of patients who have died of consumption, scrofula, and allied diseases, show "a very marked deficiency in the quantity of inorganic matter entering into their composition; this deficiency is not confined to the organs or tissues which are apparently the seat of the disease, but in a greater or lesser degree pervades the whole capillary system."

The observations of Dr. Marcet, F.R.S., show that in phthisis there is a considerable reduction of the normal amount of phosphoric acid in the pulmonary tissues; and it is very probable that there is a general drain of phosphoric acid from the system.

This loss may be caused by the expectoration and night-sweats, or it may also be produced by defective mineral nutrition, either from deficient supply in the food, or from non assimilation. But, whatever causes this deficiency, it is universally acknowledged that it is essential the food should contain a proper supply of the mineral elements. If the body is well nourished, the resisting force of the system is raised. Professor Koch and others, who accept the germ theory of disease to its fullest extent, state that the minute organisms of tubercular disease do not occur in the tissues of healthy bodies, and that when introduced into a living body their propagation and increase are greatly favored by a low state of the general health.

Dr. Pavy, F.R.S., showed in his address on the "Dietetics of Bread" that in white flour, instead of obtaining the 23 parts of mineral matter to 100 parts of nitrogenous matter--which is the accepted ratio of a standard diet--we should only get 4.20 parts of mineral matter. Professor Church states that 1 lb. of white flour has only 49 grains of mineral matter, while 1 lb. of whole wheat meal has 119 grains. Whole wheat meal, besides containing other essential mineral elements, has double the amount of lime, and nearly three times the amount of phosphoric acid; so that if defective mineral nutrition in any way predisposes to consumption, the adoption of wheat meal prepared in a digestible and palatable form is of primary importance for those who are unable to obtain the phosphates from high-priced animal foods.

Wheat meal has also great advantages for those who are able to afford animal food, for, as Dr. Pavy stated, "It acts as a greater stimulant to the digestive organs."

It is probably due to this stimulating property of wheat meal that people who have adopted it find they can digest animal fat much better than previously. If this is corroborated by general experience, it may be of great benefit in aiding the system to resist tendencies toward consumption and scrofula, for these diseases are generally accompanied by loss of the power of assimilating fat. It is believed that a deficiency of oleaginous matter is a predisposing cause of tuberculous disease. An important prophylactic, therefore, against such maladies, would be a general increase in the use of butter and other fatty foods.

There is such good reason to believe that a low state of nutrition favors the development of tuberculous disease, that parents cannot be too strongly urged to provide their children with a proper supply of healthy, nourishing, and pure food (under which term must, of course, be included pure air and pure water), for by so doing they may often arrest consumptive tendencies, and thus would be diminished the ravages of that fatal disease which, when once established, is "the despair of the physician, and the terror of the public."


THE NEW YORK FISH COMMISSION PONDS AT CALEDONIA.

The capacity of the New York State fish farm at Caledonia is 6,000,000 fry a year. The recently issued report of the fish commissioners says that this year the ponds will be worked to their full capacity.

The supply of spawn has been greater than could be hatched there, and supplies were sent to responsible persons in every State in the Union to be experimented with. At the date of issuing the report the supply of stock fish at the hatchery embraced, it was estimated, a thousand salmon trout, of weights ranging from four to twelve pounds; ten thousand brook trout, from half a pound to two pounds in weight; thirty thousand California mountain trout, weighing from a quarter of a pound to three pounds; forty-seven hundred rainbow trout, of from a quarter of a pound to two pounds' weight; and a large number of hybrids produced by crossing and interbreeding of different members of the salmon tribe. In this connection reference is made to the interesting fact that hybrids of the fish family are not barren. Spawners produced by crossing the male brook trout with the female salmon trout cast 72,000 eggs last fall, which hatched as readily as the spawn of their progenitors. The value of the stock of breeding fish at the hatchery is estimated at $20,000.

The hatch of salmon trout this season was not far from 1,200,000, and these will be distributed chiefly in the large lakes of the interior. About a million little brook trout were produced. The commission doubts whether much benefit has resulted from attempting to stock small streams that have once been good trout waters, but the temperature of which has been changed by cutting away the forest trees that overhung them. The best results have been attained where the waters are of considerable extent, especially those in and bordering on the wilderness in the northern part of the State. The experiments with California trout, have been very successful, and it is found that the streams most suitable for them, are the Hudson, Genesee, Mohawk, Moose, Black, and Beaver rivers, and the East and West Canada creeks. The commission hopes to hatch 6,000,000 or 8,000,000 shad this season at a cost of about $1,000. Concerning German carp, the commissioners find that the water at Caledonia is too cold for this fish, but think that carp would do well in waters further south.

The commission awaits a more liberal appropriation of money before beginning the work of hatching at the new State fish farm at Cold Spring, on the north side of Long Island, thirty miles out from Brooklyn.


MIOCENE MAN.

Grant Allen, an English evolutionist, gives this imaginary picture of our supposed ancestor: "We may not unjustifiably picture him to ourselves as a tall and hairy creature, more or less erect, but with a slouching gait, black faced and whiskered, with prominent, prognathous muzza, and large, pointed canine teeth, those of each jaw fitted into an interspace in the opposite row. These teeth, as Mr. Darwin suggests, were used in the combats of the males. His forehead was no doubt low and retreating, with bony bosses underlying the shaggy eyebrows, which gave him a fierce expression, something like that of the gorilla. But already, in all likelihood, he had learned to walk habitually erect, and had begun to develop a human pelvis, as well as to carry his head more straight on his shoulders. That some such animal must have existed seems to me an inevitable corollary from the general principles of evolution and a natural inference from the analogy of other living genera."


GOULIER'S TUBE-GAUGE.

As well known, the method by which glass barometer tubes are made gives them variable calibers. Not only do the different tubes vary in size, but even the same tube is apt to have different diameters throughout its length, and its sections are not always circular. Manufacturers of barometers often have need to know exactly the dimensions of the sections of these tubes, and to ascertain whether they are equal throughout a certain length of tube, and this is especially necessary in those instruments in which the surfaces of the sections of the reservoir and tube must bear a definite ratio to one another. Having ascertained that no apparatus existed for measuring the caliber of these and anolagous tubes, and that manufacturers had been accustomed to make the measurements by roundabout methods, Colonel Goulier has been led to devise a small apparatus for the purpose, and which is shown in the accompanying cuts.

GOULIER'S TUBE GAUGE. (Plan and longitudinal and tranverse sections.)

GOULIER'S TUBE GAUGE. (Plan and longitudinal and tranverse sections.)

The extremity of a brass tube, T, 0.5 to 0.6 of a meter in length and smaller in diameter than the tube to be gauged, is cut into four narrow strips a few centimeters in length. The extremity of each of these strips is bent toward the axis of the tube. Two of them, m and m', opposite each other are made very flexible, and carry, riveted to their extremities, two steel buttons, the heads of which, placed in the interior, have the form of an obtuse quoin with rounded edge directed perpendicular to the tube's axis. The other extremities of these buttons are spherical and polished and serve as caliper points in the operation of measuring. These buttons are given a thickness such that when the edges of their heads are in contact, the external diameter of the tube exceeds the distance apart of the two calibrating points by more than one millimeter. But such distance apart is increased within certain limits by inserting between the buttons a German silver wedge, L, carried by a rod, t, which traverses the entire tube, and which is maneuvered by a head, B, fixed to its extremity. This rod carries a small screw, v, whose head slides in a groove, r, in the tube, so as to limit the travel of the wedge and prevent its rotation. Beneath the head, B, the rod is filed so as to give it a plane surface for the reception of a divided scale. A corresponding slit in the top of the tube carries the index, I, of the scale. The principal divisions of the scale have been obtained experimentally, and traced opposite the index when the calibrating points were exactly 7, 8, 9 etc., millimeters apart. As the angle of the wedge is about one tenth, the intervals between these divisions are about one centimeter. These intervals are divided into ten parts, each of which corresponds to a variation in distance of one tenth of a millimeter.

To calibrate a glass tube with this instrument, the tube is laid upon the table, the gauge is inserted, and the buttons are introduced into the section desired. The flat side of the head, B, being laid on the table, arranges, as shown in the figure, the buttons perpendicular to it. Then the measuring wedge is introduced until a stoppage occurs through the contact of the buttons with the sides of the tube. Finally, their distance apart is read on the scale. Such distance apart will be the measure of a diameter or a chord of the tube's section, according as the buttons have been kept in the diametral plane or moved out of it. In order that the operator shall not be obliged to watch the position of the line of calibrating buttons in obtaining the diameter, the following arrangement has been devised: The sides of the measuring wedge are filed off to a certain angle, and the ends of the corresponding strips, d and d', are bent inward in the form of hooks, whose extremities always rest on the faces of the directing wedges. The length of these hooks and the angle of the wedge are such that the distance apart of the rounded backs of the directing strips is everywhere less, by about one-thirtieth, than that of the calibrating buttons. From this it will be seen that if the wedge be drawn back, and inserted again after the tube has been turned, we shall measure the diameter that is actually vertical. It becomes possible, then, to determine the greatest and smallest diameters in a few minutes; and, supposing the section elliptical, its area will be obtained by multiplying the product of these two diameters by pi/4.

From the description here given it will be seen that Colonel Goulier's apparatus is not only convenient to use, but also permits of obtaining as accurate results as are necessary. Two sizes of the instrument are made, one for diameters of from 7 to 10.5 mm., and the other for those of from 10 to 15.5 mm. It is the former of these that is shown, of actual size, in the cuts.


SOLDERING WITHOUT AN IRON.

The following method for soldering without the use of a soldering iron is given in the Techniker:

The parts to be joined are made to fit accurately, either by filing or on a lathe. The surfaces are moistened with the soldering fluid, a smooth piece of tin foil laid on, and the pieces pressed together and tightly wired. The article is then heated over the fire or by means of a lamp until the tin foil melts. In this way two pieces of brass can be soldered together so nicely that the joint can scarcely be found.

With good soft solder, nearly all kinds of soldering can be done over a lamp without the use of a "copper." If several piaces have to be soldered on the same piece, it is well to use solder of unlike fusibility. If the first piece is soldered with fine solder composed of 2 parts of lead, 1 of tin, and 2 of bismuth, there is no danger of its melting when another place near it is soldered with bismuth solder, made of 4 parts of lead, 4 of tin, and 1 of bismuth, for their melting points differ so much that the former will not melt when the latter does. Many solders do not form any malleable compounds.

In soldering together brass, copper, or iron, hard solder must be employed; for example, a solder made of equal parts of brass and silver (!). For iron, copper, or brass of high melting point, a good solder is obtained by rolling a silver coin out thin, for it furnishes a tenacious compound, and one that is not too expensive, since silver stretches out well. Borax is the best flux for hard soldering. It dissolves the oxides which form on the surface of the metal, and protects it from further oxidation, so that the solder comes into actual contact with the surfaces of the metal. For soft soldering, the well-known fluid, made by saturating equal parts of water and hydrochloric acid with zinc, is to be used. In using common solder rosin is the cheapest and best flux. It also has this advantage, that it does not rust the article that it is used on.--Deutsche Industrie Zeitung.


WORKING COPPER ORES AT SPENCEVILLE.

From a letter in the Grass Valley Tidings we make the following extracts:

The Spenceville Copper Mining Company have 43 acres of copper-bearing ground and 100 acres of adjoining land, which was bought for the timber. There are a hoisting works, mill, roasting sheds, and leaching vats on the ground, and they cover several acres.

On going around with Mr. Ellis, the first place we came to was the mine proper, which is simply an immense opening in the ground covering about one half of an acre, and about 80 feet deep. It has an incline running down into it, by which the ore is hoisted to the surface. Standing on the brink of this opening and looking down, we could see the men at work, some drilling, others filling and running the cars to the incline to be hoisted to the surface.

The ore is found in a sort of chloritic slate and iron pyrites which follow the ledge all around. The ore itself is a fine-grained pyrite, with a grayish color, and it is well suited by its sulphur and low copper contents, as well as by its properties for heap roasting. In heap roasting, the ore is hand-broken by Chinamen into small lumps before being hoisted to the surface. From the landing on the surface it is run out on long tracks under sheds, dumped around a loose brick flue and on a few sticks of wood formed in the shape of a V, which runs to the flues to give a draught. Layers of brush are put on at intervals through the pile. The smaller lumps are placed in the core of the heap, the larger lumps thrown upon them, and 40 tons of tank residues thrown over all to exclude excess of air; 500 lb. of salt is then distributed through the pile, and it is then set afire. After well alight the draught-holes are closed up, and the pile is left to burn, which it does for six months. At the expiration of that time the pile is broken into and sorted, the imperfectly roasted ore is returned to a fresh roast-heap, and the rest trammed to the

LEACH-VATS.

These are 50 in number, 10 having been recently added. The first 40 are four feet by six feet and four feet deep, the remaining 10 twice as large. About two tons of burnt ore is put in the small vats (twice as much in the larger ones), half the vats being tilled at one time, and then enough cold water is turned in to cover the ore. Steam is then injected beneath the ore, thus boiling the water. After boiling for some time, the steam is turned off and the water allowed to go cold. The water, which after the boiling process turns to a dark red color, is then drawn off. This water carries the copper in a state of solution. The ore is then boiled a second time, after which the tank residues are thrown out and water kept sprinkling over them. This water collects the copper still left in the residues, and is then run into a reservoir, and from the reservoirs still further on into settling tanks, previous to

PRECIPITATION,

and is then conducted through a system of boxes filled with scrap iron, thus precipitating the copper.

The richer copper liquors which have been drawn from the tanks fire not allowed to run in with that which comes from the dump heaps. This liquor is also run into settling tanks, and from them pumped into four large barrels, mounted horizontally on friction rollers, to which a very slow motion is given. These barrels are 18 feet long and six feet six inches deep outside measure. They are built very strongly, and are water-tight. Ten tons of scrap iron are always kept in each of these barrels, which are refilled six times daily, complete precipitation being effected in less than four hours. Each barrel is provided with two safety valves, inserted in the heads, which open automatically to allow the escape of gas and steam. The precipitation of the copper in the barrels forms copper cement. This cement is discharged from the barrels on to screens which hold any lumps of scrap iron which may be discharged with the cement. It is then dried by steam, after which it is conveyed into another tank, left to cool, and then placed in bags ready for shipment, as copper cement. The building in which the liquor is treated is the mill part of the property, from which they send out 42 tons monthly of an average of 85 per cent, of copper cement, this being the average yield of the mine.

There are 23 white men and 40 Chinamen employed at the mine and the mill. There are also several wood choppers, etc., on the company's pay-roll. Eight months' supply of ore is always kept on hand, there now being 12,000 tons roasting. The mine is now paying regular monthly dividends, and everything argues well for the continuance of the same.


SIR WILLIAM THOMSON'S PILE.

The Thomson pile, which is employed with success for putting in action the siphon recorder, and which is utilized in a certain number of cases in which an energetic and constant current is needed, is made in two forms. We shall describe first the one used for demonstration. Each element of this (Fig. 1) consists of a disk of copper placed at the bottom of a cylindrical glass vessel, and of a piece of zinc in the form of a grating placed at the upper part, near the surface of the solution. A glass tube is placed vertically in the solution, its lower extremity resting on the copper. Into this tube are thrown some crystals of sulphate of copper, which dissolve in the liquid, and form a solution of a greater density than that of the zinc alone, and which, consequently, cannot reach the zinc by diffusion. In order to retard the phenomenon of diffusion, a glass siphon containing a cotton wick is placed with one of its extremities midway between the copper and zinc, and the other in a vessel outside the element, so that the liquid is sucked up slowly nearly to its center. The liquid is replaced by adding from the top either water or a weak solution of sulphate of zinc.

FIG. 1.--THE THOMSON PILE.(Type for demonstration.)

FIG. 1.--THE THOMSON PILE.(Type for demonstration.)

The greater part of the sulphate of copper that rises through the liquid by diffusion is carried off by the siphon before reaching the zinc, the latter being thus surrounded with an almost pure solution of sulphate of copper having a slow motion from top to bottom. This renewal of the liquid is so much the more necessary in that the saturated solution of sulphate of copper has a density of 1.166, and the sulphate of zinc one of 1.445, There would occur, then, a mixture through inversion of densities if the solution were allowed to reach a too great amount of saturation, did not the siphon prevent such a phenomenon by sucking up the liquid into the part where the mixture tends to take place. The chemical action that produces the current is identical with that of the Daniell element.

In its application, this pile is considerably modified in form and arrangement. Each element (Fig 2) consists of a flat wooden hopper-shaped trough, about fifty centimeters square, lined with sheet lead to make it impervious. The bottom is covered with a sheet of copper and above this there is a zinc grate formed of closely set bars that allow the liquid to circulate. This grate is provided with a rim which serves to support a second similar element, and the latter a third, and soon until there are ten of the elements superposed to form series mounted for tension. The weight of the elements is sufficient to secure a proper contact between the zinc and copper of the elements placed beneath them, such contact being established by means of a band of copper cut out of the sheet itself, and bent over the trough.

FIG. 2.--THE THOMSON PILE. (Siphon Recorder Type.)

FIG. 2.--THE THOMSON PILE. (Siphon Recorder Type.)

On account of the large dimensions of the elements, and the proximity of the two metals, a pile is obtained whose internal resistance is very feeble, it being always less than a tenth of an ohm when the pile is in a good state, and the electromotive force being that of the Daniell element--about 1 08 volts.

Sometimes the zinc is covered with a sheet of parchment which more thoroughly prevents a mixture of the liquids and a deposit of copper on the zinc. But such a precaution is not indispensable, if care be taken to keep up the pile by taking out some of the solution of sulphate of zinc every day, and adding sulphate of copper in crystals. If the pile is to remain idle for some time, it is better to put it on a short circuit in order to use up all the sulphate of copper, the disappearance of which will be ascertained by the loss of blue color in the liquid. In current service, on the contrary, a disappearance of the blue color will indicate an insufficiency of the sulphate, and will be followed by a considerable reduction in the effects produced by the pile.

The great power of this pile, and its constancy, when it is properly kept up, constitute features that are indispensable for the proper working of the siphon recorder--the application for which it was more especially designed.

This apparatus has been also employed under some circumstances for producing an electric light and charging accumulators; but such applications are without economic interest, seeing the enormous consumption of sulphate of copper during the operation of the pile. The use of the apparatus is only truly effective in cases where it is necessary to have, before everything else, an energetic and exceedingly constant current.--La Nature.


SIEMENS' TELEMETER

The accompanying cut illustrates a telemeter which was exhibited at the Paris Exhibition of Electricity, and which is particularly interesting from the fact that it is the first apparatus of this kind. It will be remembered that the object of a telemeter is to make known at any moment whatever the distance of a movable object, and that, too, by a direct reading and without any calculation. In Mr. Siemens' apparatus the problem is solved in the following manner:

The movable object (very often a vessel) is sighted from two different stations--two points of the coast, for example--by two different observers. The sighting is done with two telescopes, A1 and A2, which the observers revolve around a vertical axis by means of two winches, K1 and K2, that gear with two trains of clockwork. There is thus constantly formed a large triangle, having for its apices the movable point sighted and the vertical axes, A1 and A2, of the two telescopes. On another hand, at a point situated between the two telescopes, there is a table, T T, that carries two alidades, a1v1, and a2v2, movable around their vertical axes, a1 and a2. The line, a1 a2, that joins these axes is parallel with that which joins the axes of the two telescopes; and the alidades are connected electrically with the telescopes by a system such that each alidade always moves parallel with the telescope that corresponds to it. It follows from this that the small triangle that has for apices, a1 a2, and the crossing point of the two alidades will always be like the large triangle formed by the line that joins the telescopes and the two lines of vision. If, then, we know the ratio of a1, a2 to A1 A2, it will suffice to measure on one of the alidades the distance from its axis to the point of crossing in order to know the distance from the movable object to the axis of the corresponding telescope. If the table, T T, be covered with a chart giving the space over which the ship is moving, so that a1 and a2 shall coincide with the points which A1 and A2 represent, the crossing of the threads of the alidades will permit of following on the chart all the ship's movements. In this way there maybe had a powerful auxiliary in coast defence; for all the points at which torpedoes have been sunk may be marked on the chart, and, as soon as the operator at the table finds, by the motion of the alidades, that the ship under observation is directly over a torpedo, he will be able to fire the latter and blow the enemy up. During this time the two observers at A1 and A2 have only to keep their telescopes directed upon the vessel that it has been agreed upon to watch.

SIEMENS' ELECTRIC TELEMETER

SIEMENS' ELECTRIC TELEMETER

In order to obtain a parallelism between the motion of the alidades and that of the corresponding telescopes, the winch of each of the latter, while putting its instrument in motion, also sets in motion a Siemens double-T armature electromagnetic machine. One of the wires of the armature of this machine, connected to the frame, is always in communication with the ground at E1 (if we consider, for example, the telescope to the left), and the other ends in a spring that alternately touches two contacts. One of these contacts communicates with the wire, L1 and the other with the wire, L3, so that, when the machine is revolving, the currents are sent alternately into L1 and L3. These two latter wires end in a system of electro magnets, M1, provided with a polarized armature. The motions of the latter act, through an anchor escapement, upon a system of wheels. An axle, set in motion by the latter, revolves one way or the other, according to the direction of the telescope's motions. This axle is provided with an endless screw that gears with a toothed sector, and the latter controls the rotatory axis of the alidade. The elements of the toothed wheels and the number of revolutions of the armature for a given displacement of the telescope being properly calculated, it will be seen that the alidade will be able to follow all the movements of the latter.

When it is desired to place one of the telescopes in a given position (its position of zero, for example), without acting on the alidade, it may be done by acting directly on the telescope itself without the intermedium of the winch. For such purpose it is necessary to interrupt communication with the mechanism by pressing on the button, q. If the telescope be turned to one side or the other of its normal position, in making it describe an angle of 90°, it will abut against stops, and these two positions will permit of determining the direction of the base.

The alidades themselves are provided with a button which disengages the toothed sector from the endless screw, and permits of their being turned to a mark made on the table. A regulating screw permits of this operation being performed very accurately. In what precedes, we have supposed a case in which the movable point is viewed by two observers, and in which the table, T T, is stationed at a place distant from them. In certain cases only two stations are employed. One of the telescopes is then placed over its alidade and moves with it; and the apparatus thus comprehends only a system of synchronous movements.

This telemeter was one of the first that was tried in our military ports, and gave therein most satisfactory results. The maneuver of the winch, however, requires a certain amount of stress, and in order that the sending of the currents shall be regular, the operator must turn it very uniformly. This is a slight difficulty that has led to the use of piles, instead of the magneto-electric machine, in the apparatus employed in France. With such substitution there is need of nothing more than a movable contact that requires no exertion, and that may be guided by the telescope itself.--La Lumière Electrique.


PHYSICS WITHOUT APPARATUS.

Experiment in Static Electricity.--Take a pipe--a common clay one costing one cent--and balance it carefully on the edge of a goblet, so that it will oscillate freely at the least touch, like the beam of a scales. This being done, say to your audience: "Here is a pipe placed on the edge of a goblet; now the question is to make it fall without touching it, without blowing against it, without touching the glass, without agitating the air with a fan, and without moving the supporting table"

CLAY PIPE ATTRACTED BY AN ELECTRIFIED
GOBLET.

The problem thus proposed may be solved by means of electricity. Take a goblet like the one that supports the pipe, and rub it briskly against your coat sleeve, so as to electrify the glass through friction. Having done this, bring the goblet to within about a centimeter of the pipe stem. The latter will then be seen to be strongly attracted, and will follow the glass around and finally fall from its support.

This curious experiment is a pretty variation of the electric pendulum; and it shows that pipe-clay--a very bad conductor of electricity--favors very well the attraction of an electrified body.

Tumblers or goblets are to be found in every house, and a clay pipe is easily procured anywhere. So it would be difficult to produce manifestations of electricity more easily and at less expense than by the means here described.--La Nature.


THE CASCADE BATTERY.

[Footnote: Lately read before the Society of Telegraph Engineers and Electricians.]

By F. HIGGINS.

The battery which I have brought here to-night to introduce to your notice is of the circulating kind, in which the alimentary fluid employed passes from cell to cell by gravitation, and maintains the action of the battery as long as it continues to flow. It cannot, of course, compare with such abundant sources of electricity as dynamo-electric machines driven by steam power, but for purposes in which a current of somewhat greater volume and constancy than that furnished by the ordinary voltaic batteries is required, it will, I believe, be found in some cases useful. A single fluid is employed, and each cell is provided with an overflow spout.

The cells are arranged upon steps, in order that the liquid may flow from the cell on the topmost step through each successive cell by gravitation [specimen cells were on the table before the audience] to the reservoir at the bottom. The top and the bottom reservoirs are of equal capacity, and are fitted with taps. The topmost tap is used to regulate the flow of the solution, and the bottom one to draw it off. In each cell two carbon plates are suspended above a quantity of fragments of amalgamated zinc. The following is a sectional drawing of the arrangement of the cell:

A copper wire passes down to the bottom of the cell and makes connection with the mercury; this wire is covered with gutta-percha, except where immersed in the mercury. The pores of the carbon plates are filled with paraffin wax. This battery was first employed for the purpose of utilizing waste solution from bichromate batteries, a great quantity of which is thrown away before having been completely exhausted. This waste is unavoidable, in consequence of the impossibility of permitting such batteries, when employed for telegraphic purposes, to run until complete exhaustion or reduction of the solutions has been effected; therefore some valuable chemicals have to be sacrificed to insure constancy in working. The fragments of zinc in this cell were also the remains of amalgamated zinc plates from the bichromate batteries, and the mercury which is employed for securing good metallic connection is soon augmented by that remaining after the dissolution of the zinc. It will therefore be seen that not only the solution, but also the zinc and mercury remnants of bichromate batteries are utilized, and at the same time a considerable quantity of electricity is generated. The cells are seven inches deep and six inches wide, outside, and contain about a quart of solution in addition to the plates. The battery which I employ regularly, consisting of 18 cells, is at present working nine permanent current Morse circuits, which previously required 250 telegraphic Daniell cells to produce the same effect, and is capable of working at least ten times the number of circuits which I have mentioned; but as we do not happen to have any more of such permanent current Morse circuits, we are unable to make all the use possible of the capabilities of the battery. The potential of one cell is from 1.9 to 2 volts with strong solution, and the internal resistance varies from 0.108 to 0.170 of an ohm with cells of the size described. In order to test the constancy of the battery, a red heat was maintained in a platinum-iridium wire by the current for six weeks, both day and night.

The absence or exhaustion of the zinc in any one cell in a battery is indicated by the appearance of a red insoluble chromic salt of mercury, in a finely divided state, floating in the faulty cell. It is then necessary to drop in some pieces of zinc. The state of the zinc supply may also be ascertained at any time by feeling about in the cells with a stick. When not required, the battery may be washed by simply charging the top reservoir with water, and leaving it to circulate in the usual manner, or the solution may be withdrawn from each cell by a siphon. A very small flow of the solution is sufficient to maintain the required current for telegraphic working, but if the flow be stopped altogether for a few hours, no difference is observed in the current, although when the current is required to be maintained in a conductor of a few ohms resistance, as in heating a platinum wire, it is necessary that the circulation be maintained [heating a piece of platinum ribbon]. The battery furnishing the current for producing the effect you now see is of five cells, and as that number is reduced down to two, you see a glow still appears in the platinum. The platinum strip employed was 5 inches long and 1/8 inch wide, its resistance being 0.42 ohm, cold. That gives an idea of the volume of current flowing. I have twelve electro magnets in printing instruments joined up on the table, and [joining up the battery] you see that the two cells are sufficient to work them. The twelve electro-magnets are being worked (by the two cells) in multiple arc at the same time. The current from the cells which heated the platinum wire is amply sufficient to magnetize a Thomson recorder. I have maintained five inches of platinum ribbon in a red hot state for two hours, in order to make sure that the battery I was about to bring before you was in good order. The cost of working such a battery when waste solution cannot be obtained, and it is necessary to use specially prepared bichromate solution, is about 2¼d. per cell per day, with a current constantly active in a Thomson recorder circuit, or a resistance of 1½ ohms per cell; but if only occasionally used, the same quantity of solution will last several weeks.

A comparison of this with another form of constant battery, the Daniell, as used in telegraphy, shows that six of these cells, with a total electromotive force of 12 volts and an internal resistance of 0.84 of an ohm, cannot be replaced by less than 71 batteries of 10 cells each, connected in multiple arc, or for quantity. This result, however large it may appear, is considerably below that which may be obtained when working telegraphic lines. A current of 0.02 weber, or ampere, will work an ordinary sounder or direct writing Morse circuit; the cascade battery is capable of working 100 such circuits at the same time, while the combined resistance of that number of lines would not be below that in which it is found that the battery is constant in action.

Objection may be made to the arrangement of the battery on the score of waste of zinc by local action, because of the electro positive metal being exposed to the chromic liquid; but if the battery be out of action and the circulation stopped, the zinc amalgam is protected by the immobility of the liquid and the formation of a dense layer of sulphate of zinc on its surface. When in action, that effect is neutralized from the fact that carbon in chromic acid is more highly electro-negative than the chromate of mercury formed upon the zinc amalgam, and which appears to be the cause of the dissolution of the zinc even when amalgamated in the presence of chromic acid. The solution may be repeatedly passed through the battery until the absence of the characteristic warmth of color of chromic acid indicates its complete exhaustion. During a description before the Society of thermo-electric batteries some time ago, Mr. Preece mentioned that five of the thermopiles which were being tried at the Post-Office were doing the work of 2,535 of the battery cells previously employed. Thirty of the cascade cells would have about the same potential as five such thermopiles, but would supply three and a half times the current, and be capable of doing the work of 8,872 cells if employed upon the universal battery system in the same manner as the thermo batteries referred to.

Although this battery will do all that is required for a Thomson recorder or a similar instrument much more cheaply in this country than the tray battery, and with half the number of cells, I do not think it would be the case in distant countries, on account of the difficulty and cost of transport. A solid compound of chromic and sulphuric acids could be manufactured which would overcome this difficulty, if permanent magnetic fields for submarine telegraphic instruments continue to be produced by electric vortices. In conclusion, and to enable comparisons to be made, I may mention that the work this battery is capable of performing is 732,482 foot pounds, at a total cost of 1s. 6d.


[FROM THE SCHOOL JOURNAL.]

PERFECTLY LOVELY PHILOSOPHY.

CHARACTERS: Laura and Isabel, dressed very stylishly, both with hats on. Enter hand in hand.

Laura. My dear Isabel, I was so afraid you would not come. I waited at that horrid station a full half hour for you. I went there early on purpose, so as to be sure not to miss you.

Isabel. Oh, you sweet girl!

L. Now, sit right down; you must be tired. Just lay your hat there on the table, and we'll begin to visit right off. (Both lay their hats on the table and stand near by.)

I. And how have you been all the ages since we were together at Boston?

L. Oh, well, dear; those were sweet old school days, weren't they. How are you enjoying yourself now? You wrote that you were taking lessons in philosophy. Tell me how you like it. Is it real sweet?

I Oh, those I took in the winter were perfectly lovely! It was about science, you know, and all of us just doled on science.

L. It must have been nice. What was it about?

I. It was about molecules as much as anything else, and molecules are just too awfully nice for anything. If there's anything I really enjoy, it's molecules.

L. Oh, tell me about them, dear. What are molecules?

I. They are little wee things, and it takes ever so many of them, you know. They are so sweet! Do you know, there isn't anything but that's got a molecule in it. And the professors are so lovely! They explained everything so beautifully.

L. Oh, how I'd like to have been there!

I. You'd have enjoyed it ever so much. They teach protoplasm, too, and if there's one thing that is too sweetly divine, it's protoplasm. I really don't know which I like best, protoplasm or molecules.

L. Tell me about protoplasm. I know I should adore it!

I. 'Deed you would. It's just too sweet to live. You know it's about how things get started, or something of that kind. You ought to have heard the professors tell about it. Oh. dear! (Wipes her eyes with handkerchief) The first time he explained about protoplasm there wasn't a dry eye in the room. We all named our hats after the professors. This is a Darwinian hat. You see the ribbon is drawn over the crown this way (takes hat and illustrates), and caught with a buckle and bunch of flowers. Then you turn up the side with a spray of forget me-nots.

L. Oh, how utterly sweet! Do tell me some more of science. I adore it already.

I. Do you, dear? Well, I almost forgot about differentiation. I am really and truly positively in love with differentiation. It's different from molecules and protoplasms, but it's every bit as nice. And our professor! You should hear him enthuse about it; he's perfectly bound up in it. This is a differentiation scarf--they've just come out. All the girls wear them--just on account of the interest we take in differentiation.

L. What is it, anyway?

I. Mull trimmed with Languedoc lace, but--

L. I don't mean that--the other.

I. Oh, differentiation! That's just sweet. It's got something to do with species. And we learn all about ascidians, too. They are the divinest things! If I only had an ascidian of my own! I wouldn't ask anything else in the world.

L. What do they look like, dear? Did you ever see one?

I. Oh, no; nobody ever did but the poor dear professors; but they're something like an oyster with a reticule hung on its belt. I think they are just too lovely for anything.

L. Did you learn anything else besides?

I. Oh, yes. We studied common philosophy, and logic, and metaphysics, and a lot of those ordinary things, but the girls didn't care anything about those. We were just in ecstasies over differentiations, and molecules, and the professor, and protoplasms, and ascidians. I don't see why they put in those common branches; we couldn't hardly endure them.

L. (Sighs.) Do you believe they'll have a course like that next year?

I. I think may be they will.

L. Dear me! There's the bell to dress for dinner. How I wish I could study those lovely things!

I. You must ask your father if you can't spend the winter in Boston with me. I'm sure there'll be another course of Parlor Philosophy next winter. But how dreadful that we must stop talking about it now to dress for dinner! You are going to have company, you said; what shall you wear, dear?

L. Oh, almost anything. What shall you?

(Exeunt arm in arm.)


THE PROPOSED DUTCH INTERNATIONAL COLONIAL AND GENERAL EXPORT EXHIBITION.

The Amsterdam International Exhibition, the opening of which has been fixed for May 1, 1883, is now in way of realization. This exhibition will present a special interest to all nations, and particularly to their export trade. Holland, which is one of the great colonial powers, proposes by means of this affair to organize a competition between the various colonizing nations, and to contribute thus to a knowledge of the resources of foreign countries whose richness of soil is their fundamental power.

The executive committee includes the names of some of the most prominent persons of the Netherlands: M. Cordes, president; M. de Clercq, delegate; M. Kappeyne van di Coppello, secretary; and M. Agostini, commissary general.

PLAN OF THE DUTCH INTERNATIONAL EXHIBITION.

PLAN OF THE DUTCH INTERNATIONAL EXHIBITION.

The exhibition will consist of five great divisions, to wit: 1. A Colonial exhibition. 2. A General Export exhibition. 3. A Retrospective exhibition of Fine Arts and of Arts applied to the Industries. 4. Special exhibitions. 5. Lectures and Scientific Reunions.

The colonial part forms the base of the exhibition, and will be devoted to a comparative study of the different systems of colonization and colonial agriculture, as well as of the manners and customs of ultramarine peoples. In giving an exact idea of what has been done, it will indicate what remains to be done from the standpoint of a general development of commerce and manufactures. Such is the programme of the first division.

The second division will include everything that relates to the export trade.

The third division will be reserved for works of art dating back from the most remote ages.

The fourth division will be devoted to temporary exhibitions, such as those of horticultural and agricultural products, etc.

The fifth division will constitute the intellectual part, so to speak, of the exhibition. It will be devoted to lectures, and to scientific meetings for the discussion of questions relating to teaching, to the arts, to the sciences, to hygiene, to international jurisprudence, and to political economy. Questions of colonial economy will naturally occupy the first rank.

As will be seen, the programme of this grand scheme organized by the Netherlands government is a broad one; and, owing the experience acquired in recent universal exhibitions, especially that of Paris in 1878, very happy results may be expected from it.

At present, we give an illustration showing the general plan of the exhibition. In future, in measure as the work proceeds, we shall be able to give further details.--Le Genie Civil.


NEW METHOD OF DETECTING DYES ON YARNS AND TISSUES.

By JULES JOFFRE.

The reagents employed are a solution of caustic potassa in ten parts of water; hydrochloric acid diluted with an equal bulk of water, or occasionally concentrated; nitric acid, ammonia, ferric sulphate, and a concentrated solution of tin crystals. The most convenient method of operating is to steep small portions of the cloth under examination in a little of the reagent placed at the bottom of a porcelain capsule. The bits are then laid on the edge of the capsule, when the changes of color which they have undergone may be conveniently observed. It is useful to submit to the same reagents simultaneously portions of cloth dyed in a known manner with the wares which are suspected of having been used in dyeing the goods under examination.

RED COLORS.

By the action of caustic potassa, the reds are divided into four groups: 1, those which turn to a violet or blue; 2, those which turn brown; 3, those which are changed to a light yellow or gray; 4, those which undergo little or no change.

The first group comprises madder, cochineal, orchil, alkanet, and murexide. Madder reds are turned to an orange by hydrochloric acid, while the three next are not notably affected. Cochineal is turned by the potassa to a violet-red, orchil to a violet-blue, and alkanet to a decided blue. Lac-dye presents the same reactions as cochineal, but has less brightness. Ammoniacal cochineal and carmine may likewise be distinguished by the tone of the reds obtained.

A characteristic of madder reds is that, after having been turned yellow by hydrochloric acid, they are rendered violet on treatment with milk of lime. A boiling soap-lye restores the original red, though somewhat paler. Artificial alizarine gives the same reaction. Turkey-reds, however, are quite unaffected by acid. Garancine and garanceux reds, if treated first with hydrochloric acid and then with milk of lime, turn to a dull blue.

Madder dyes are sometimes slow in being turned to a violet by potassa, and this shade when produced is often brownish. They might thus be confounded with the dyes of the fourth group, i.e., rosolic acid, coralline, eosine, and coccine. None of these colors gives the characteristic reaction with milk of lime and boiling soap-lye. If plunged in milk of lime, they resume their rose or orange shades, while the madder colors become violet. Murexide is turned, by potassa, gray in its light shades and violet in its dark ones. It might, then, be confounded with orchil, but it is decolorized by hydrochloric acid, which leaves orchil a red. Moreover, it is turned greenish by stannous chloride.

A special character of this dye (murexide) is the presence of mercury, the salts of which serve as mordants for fixing it, and may be detected by the ordinary reagents.

The second group comprises merely sandal wood or sanders red, which turns to a brown. On boiling it with copperas it becomes violet, while on boiling with potassium dichromate it changes to a yellowish brown.

The third group includes safflower, magenta, and murexide (light shades). If the action of the potassa is prolonged the (soft) red woods enter into this group. Safflower turns yellow by the action of potassa, and the original rose shade is not restored by washing with water. Hydrochloric acid turns it immediately yellow. Citric acid has no action. Magenta is completely decolorized by potassa, but a prolonged washing in water reproduces the original shade. This reaction is common to many aniline colors. These decolorations and recolorations are easily produced in dark shades, while in very light shades they are less easily observed, because there is always a certain loss of color. Stannous chloride turns magenta reds to a violet. Hydrochloric acid renders them yellowish brown (afterward greenish?). Water restores the purple red shade.

The fourth group comprises saffranine, azo-dinaphthyldiamine, rosolic acid, coralline, pure eosine and cosine modified by a salt of lead, coccina, artificial ponceau, and red-wood.

Saffranine is detected by the action of hydrochloric acid, which turns it to a beautiful blue; the red color is restored by washing in water. Azo-dinaphthyl diamine is recognized by its peculiar orange cast, and is turned by hydrochloric acid to a dull, dirty violet. Rosolic acid and coralline, as well as eosine, are turned by hydrochloric acid to an orange-yellow: the two former are distinguished from eosine by their shade, which inclines to a yellow. Potassa turns rosolic acid and coralline from an orange-red to a bright red, while it produces no change in eosine. If the action of potassa is prolonged, modified eosine is blackened in consequence of the decomposition of the wool, the sulphur of which forms lead sulphide. Coccine becomes of a light lemon-yellow on treatment with hydrochloric acid. Washing with water restores the original shade. It affords the same reactions as eosine, but its tone is more inclined to an orange.

Artificial ponceau does not undergo any change on treatment with hydrochloric acid, and resists potash. Red wood shades are turned toward a gooseberry-red by hydrochloric acid, especially if strong. This last reaction not being very distinct, red-wood shades might be mistaken for those of artificial ponceau but for the superior brightness of the latter. If the action of potassa is prolonged, the red-wood shades are decolorized, and a washing with water then bleaches the tissue. Rocelline affords the same reactions as artificial ponceau, but if steeped in a concentrated solution of stannous chloride it is in time completely discharged, which is not the case with artificial ponceau.

VIOLET COLORS.

Violets are divided into two groups: those affected by potassa, and those upon which it has no action. The first group embraces logwood, orchil, alkanet, and aniline violets, including under the latter term Perkin's violet, (probably the original "mauve"), dahlia, Parme or magenta violet, methyl, and Hofmann's violets. The action of potassa gives indications for each of these violets. Logwood violet is browned; that of orchil, if slightly reddish, is turned to a blue-violet; that of alkanet is modified to a fine blue. Lastly, Perkin's mauve, dahlia, and methyl violet become of a grayish brown, which may be re-converted into a fine violet by washing in abundance of water. When the shades are very heavy, this grayish brown is almost of a violet-brown, so that the violets might seem to be unaltered.

The action of hydrochloric acid distinguishes these colors better still if the aid of ammonia is called in for two cases.

The acid turns logwood violet to a fine red, and equally reddens orchil violet. But the two colors cannot be confounded, first, because the two violet shades are very distinct, that of orchil being much the brighter; and secondly, because ammonia has no action on logwood violet, while it turns orchil violet, if at all reddish, to a blue shade. Hydrochloric acid, whether dilute or concentrated, is without action on alkanet violet. If the acid is dilute, it is equally without action on Perkin's violet and dahlia. If it is strong, it turns them blue, and even green if in excess. Hofmann's violet turns green even with dilute acid, but prolonged washing restores the original violet shade. Dahlia gives a more blue shade than Perkin's mauve. The action of acid is equally characteristic for methyl violet. It becomes green, then yellow. Washing in water re-converts it first to a green, and then to a violet.

The second group includes madder violet, cochineal violet, and the compound violet of cochineal and extract of indigo. These three dyes are thus distinguished: Hydrochloric acid turns the madder violet-orange, slightly brownish, or a light brown, and it affords the characteristic reaction of the madder colors described above under reds. Cochineal violets are reddened. Sometimes they are decolorized, and become finally yellow, but do not pass through a brown stage.

The compound violet of cochineal and extract of indigo presents this characteristic reaction, that if boiled with very weak solution of sodium carbonate the liquid becomes blue, rather greenish, while the cloth becomes a vinous-red--Moniteur Scientifique.--Chem. News.


CHEVALET'S CONDENSO-PURIFIER FOR GAS.

The condenso-purifier shown in the accompanying cut operates as follows: Water is caused to flow over a metallic plate perforated with innumerable holes of from one to three millimeters in diameter, and then, under this disk, which is exactly horizontal, a current of gas is introduced. Under these circumstances the liquid does not traverse the holes in the plate, but is supported by the gas coming in an opposite direction. Provided that the gas has sufficient pressure, it bubbles up through the water and becomes so much the more divided in proportion as the holes are smaller and more numerous.

The gas is washed by traversing the liquid, and freed from the tar and coal-dust carried along with it; while, at the same time, the ammonia that it contains dissolves in the water, and this, too, so much the better the colder the latter is. This apparatus, then, permits of obtaining two results: a mechanical one, consisting in the stoppage of the solid matters, and a chemical one, consisting in the stoppage of the soluble portions, such as ammonia, sulphureted hydrogen, and carbonic acid.

FIG. 1.--CONDENSO-PURIFIER FOR GAS. (Elevation.)

FIG. 1.--CONDENSO-PURIFIER FOR GAS. (Elevation.)

The condenso-purifier consists of three perforated diaphragms, placed one over the other in rectilinear cast-iron boxes. These diaphragms are movable, and slide on projections running round the interior of the boxes. In each of the latter there is an overflow pipe, g, that runs to the box or compartment below, and an unperforated plate, f, that slides over the diaphragm so as to cover or uncover as many of the holes as may be necessary. A stream of common water runs in through the funnel, e, over the upper diaphragm, while the gas enters the apparatus through the pipe, a, and afterward takes the direction shown by the arrows. Reaching the level of the overflow, the water escapes, fills the lower compartment, covers the middle diaphragm, then passes through the second overflow-pipe to cover the lower diaphragm, next runs through the overflow-pipe of the third diaphragm on to the bottom of the purifier, and lastly makes its exit, through a siphon. A pressure gauge, having an inlet for the gas above and below, serves for regulating the pressure absorbed for each diaphragm, and which should vary between 0.01 and 0.012 of a meter.

The effect of this purifier is visible when the operation is performed with an apparatus made externally of glass. The gas is observed to enter in the form of smoke under the first diaphragm, and the water to become discolored and tarry. When the gas traverses the second diaphragm, it is observed to issue from the water entirely colorless, while the latter becomes slightly discolored, and finally, when it traverses the third diaphragm, the water is left perfectly limpid.

Two diaphragms have been found sufficient to completely remove the solid particles carried along by the gas, the third producing only a chemical effect.

This apparatus may replace two of the systems employed in gas works: (1) mechanical condensers, such as the systems of Pelouze & Audouin, and of Servier; and (2) scrubbers of different kinds and coke columns. Nevertheless, it is well to retain the last named, if the gas works have them, but to modify their work.

FIG. 2.--PLAN VIEW WITH BY-PASS.

FIG. 2.--PLAN VIEW WITH BY-PASS.

This purifier should always be placed directly after the condensers, and is to be supplied with a stream of pure water at the rate of 50 liters of water per 1,000 cubic meters of gas. Such water passes only once into the purifier, and issues therefrom sufficiently rich in ammonia to be treated.

If there are coke columns in the works, they are placed after the purifier, filled with wood shavings or well washed gravel, and then supplied with pure cold water in the proportion stated above. The water that flows from the columns passes afterward into the condenso-purifier, where it becomes charged with ammonia, and removes from the gas the tar that the latter has carried along, and then makes its exit and goes to the decanting cistern.

In operating thus, all the remaining ammonia that might have escaped the condenso-purifier is removed, and the result is obtained without pumps or motor, with apparatus that costs but little and does not occupy much space. The advantages that are derived from this, as regards sulphate of ammonia, are important; for, on treating ammoniacal waters with condensers, scarcely more than four to five kilogrammes of the sulphate are obtained per ton of coal distilled, while by washing the gas perfectly with the small quantity of water indicated, four to five kilogrammes more can be got per 1,000 kilogrammes of coal, or a total of eight to ten kilogrammes per ton.

When the gas is not washed sufficiently, almost all of the ammonia condenses in the purifying material.

The pressure absorbed by the condenso purifier is from ten to twelve millimeters per washing-diaphragm. In works that are not provided with an extractor, two diaphragms, or even a single one, are employed when it is desired simply to catch the tar.

The apparatus under consideration was employed in the St. Quentin gas works during the winter of 1881-1882, without giving rise to any obstruction; and, besides, it was found that by its use there might be avoided all choking up of the pipes at the works and the city mains through naphthaline.

In cases of obstruction, it is very easy to take out the perforated diaphragms; this being done by removing the bolts from the piece that holds the register, f, and then removing the diaphragm and putting in another. This operation takes about ten minutes. The advantages of such a mounting of the diaphragms is that it allows the gas manufacturer to employ (and easily change) the number of perforations that he finds best suited to his needs.

These apparatus are constructed for productions of from 1,000 to 100,000 cubic meters of gas per twenty four hours. They have been applied advantageously in the washing of smoke from potassa furnaces, in order to collect the ammonia that escapes from the chimneys. In one of such applications, the quantity of gas and steam washed reached a million cubic meters per twenty-four hours.--Revue Industrielle.


ARTIFICIAL IVORY.

It is said that artificial ivory of a pure white color and very durable has been manufactured by dissolving shellac in ammonia, mixing the solution with oxide of zinc, driving off ammonia by heating, powdering, and strongly compressing in moulds.


CREOSOTE IMPURITIES.

[Footnote: Read at the meeting of the American Pharmaceutical Association held at Niagara Falls. 1882.]

By Prof. P. W. BEDFORD.

The object of this query can be but one, namely, to inquire whether the wood creosote offered for sale is a pure article, or not; and if not, what is the impurity present?

The relative commercial value of the articles sold as coal tar creosote and wood creosote disposes of the question as to the latter being present in the former article, and we are quite certain that the cheap variety is nothing more or less than a phenol or carbolic acid. Wood creosote, it has been frequently stated, is adulterated with coal tar creosote, or phenol. The object of my experiments has been to prove the identity of wood creosote and its freedom from phenol. The following tests are laid down in various works as conclusive evidence of its purity, and each has been fully tried with the several samples of wood creosote to prove their identity and purity, and also with phenol, sold as commercial creosote or coal tar creosote, and for comparison with mixtures of the two, that even small percentages of admixture might be identified, should such exist in the wood creosote of the market.

The following tests were used:

1. Equal volumes of anhydrous glycerine and wood creosote make a turbid mixture, separating on standing. Phenol dissolves. If three volumes of water be added, the separation of the wood creosote is immediate. Phenol remains in permanent solution.

2. One volume of wood creosote added to two volumes of glycerine; the former is not dissolved, but separates on standing. Phenol dissolves.

3. Three parts of a mixture containing 75 per cent, of glycerine and 25 of water to 1 part of wood creosote show no increase of volume of glycerine, and wood creosote separates. Phenol dissolves, and forms a clear mixture. Were any phenol present in the wood creosote, the increase in the volume of the glycerine solution, if in a graduated tube, would distinctly indicate the percentage of phenol present.

4. Solubility in benzine. Wood creosote entirely soluble. Phenol is insoluble.

5. A 1 per cent, solution of wood creosote. Take of this 10 cubic centimeters, add 1 drop of a test solution of ferric chloride; an evanescent blue color is formed, passing quickly into a red color. Phenol gives a permanent blue color.

6. Collodion or albumen with an equal bulk of wood creosote makes a perfect mixture without coagulation. Phenol at once coagulates into a more or less firm mass or clot.

7. Bromine solution with wood creosote gives a reddish brown precipitate. Phenol gives a white precipitate.

All tests enumerated above were repeatedly tried with four samples of wood creosote sold as such; one a sample of Morson's, one of Merck's, one evidently of German origin, but bearing the label and capsule of an American manufacturer, and one of unknown origin, but sold as beech-wood creosote (German), and each proved to be pure wood creosote.

Two samples of commercial creosote which, from the low cost, were known to be of coal tar origin gave the negative tests, showing that they were phenol.

Corroborative experiments were made by mixing 10 to 20 per cent, of phenol with samples of the beechwood creosote, but in every case each of the tests named showed the presence of the phenol.

The writer on other occasions applied single tests (the collodion test) to samples of beechwood creosote that he had an opportunity of procuring small specimens of, and satisfied himself that they were pure. The conclusion is that the wood creosote of the market of the present time is in abundant supply, is of unexceptionable quality, and reasonable in price, so that there is no excuse for the substitution of the phenol commonly sold for it. When it is directed for use for internal administration (the medicinal effect being entirely dissimilar), wood creosote only should be dispensed.

The general sales of creosote by the pharmacist are in small quantities as a toothache remedy, and phenol has the power of coagulating albumen, which effectually relieves the suffering. Wood creosote does not coagulate albumen, and is, therefore, not as serviceable. This is, perhaps, the reason that it has become, in a great measure, supplanted in general sale by the coal tar creosote, to say nothing of the argument of a lower cost.


REMEDY FOR SICK HEADACHE.

Surgeon Major Roehring, of Amberg, reports, in No. 32 of the Allg. Med. Centr. Zeit., April 22, 1882, a case of headache of long standing, which he cured by salicylate of sodium, which confirms the observations of Dr. Oehlschlager, of Dantzig, who first contended that we possessed in salicylic acid one of the most reliable remedies for neuralgia. This cannot astonish us if we remember that the action of salicylic acid is, in more than one respect, and especially in its influence on the nervous centers, analogous to quinine.

While out with the troops on maneuver, Dr. Roehring was called to visit the sixteen-year old son of a poor peasant family in a neighboring village. The boy, who gave all evidences of living under bad hygienic surroundings, but who had shown himself very diligent at school, had been suffering, from his sixth year, several days every week from the most intense headache, which had not been relieved by any of the many remedies tried for this purpose. A careful examination did not reveal any organic lesion or any cause for the pain, which seemed to be neuralgic in character, a purely nervous headache. Roehring had just been reading the observations of Oehlschlager, and knowing, from the names of the physicians who had been already attending the poor boy, that all the common remedies for neuralgia had been given a fair trial, thought this a good opportunity to test the virtue of salicylate of sodium. He gave the boy, who, in consequence of the severity of the pain, was not able to leave his bed, ten grains of the remedy every three hours, and was surprised to see the patient next day in his tent and with smiling face. The boy admitted that he for years had not been feeling so well as he did then. The remedy was continued, but in less frequent doses, for a few days longer; the headache did not return. Several months later Dr. Roehring wrote to the school-teacher of the boy, and was informed that the latter had, during all this time, been totally free of his former pain, that he was much brighter than formerly, and evidently enjoying the best of health.

It may be worth while to give the remedy a more extensive trial, and the more so as we are only too often at a loss what to do in stubborn cases of so-called nervous headache.--The Medical and Surgical Reporter.


SUNLIGHT AND SKYLIGHT AT HIGH ALTITUDES.

At the Southampton meeting of the British Association, Captain Abney read a paper in which he called attention to the fact that photographs taken at high altitudes show skies that are nearly black by comparison with bright objects projected against them, and he went on to show that the higher above the sea level the observer went, the darker the sky really is and the fainter the spectrum. In fact, the latter shows but little more than a band in the violet and ultraviolet at a height of 8,500 feet, while at sea-level it shows nearly the whole photographic spectrum. The only reason of this must be particles of some reflecting matter from which sunlight is reflected. The author refers this to watery stuff, of which nine-tenths is left behind at the altitude at which be worked. He then showed that the brightness of the ultra-violet of direct sunlight increased enormously the higher the observer went, but only to a certain point, for the spectrum suddenly terminated about 2,940 wave-length. This abrupt absorption was due to extra-atmospheric causes and perhaps to space. The increase in brightness of the ultra-violet was such that the usually invisible rays, L, M, N, could be distinctly seen, showing that the visibility of these rays depended on the intensity of the radiation. The red and ultra-red part of the spectrum was also considered. He showed that the absorption lines were present in undiminished force and number at this high altitude, thus placing their origin to extra-atmospheric causes. The absorption from atmospheric causes of radiant enemy in these parts he showed was due to "water-stuff," which he hesitated to call aqueous vapor, since the banded spectrum of water was present, and not lines. The B and A line he also stated could not be claimed as telluric lines, much less as due to aqueous vapor, but must originate between the sun and our atmosphere. The author finally confirmed the presence of benzine and ethyl in the same region. He had found their presence indicated in the spectrum at sea-level, and found their absorption lines with undiminished intensity at 8,500 feet. Thus, without much doubt, hydrocarbons must exist between our atmosphere and the sun, and, it may be, in space.

Prof. Langley, following Capt. Abney, observed: The very remarkable paper just read by Captain Abney has already brought information upon some points which the one I am about, by the courtesy of the Association, to present, leaves in doubt. It will be understood then that the references here are to his published memoirs only, and not to what we have just heard.

The solar spectrum is so commonly composed to have been mapped with completeness, that the statement that much more than one-half its extent is not only unmapped but nearly unknown, may excite surprise. This statement is, however, I think, quite within the truth, as to that almost unexplored region discovered by the elder Herschel, which, lying below the red and invisible to the eye, is so compressed by the prism that, though its aggregate heat effects have been studied through the thermopile, it is only by the recent researches of Capt. Abney that we have any certain knowledge of the lines of absorption there, even in part. Though the last-named investigator has extended our knowledge of it to a point much beyond the lowest visible ray, there yet remains a still remoter region, more extensive than the whole visible spectrum, the study of which has been entered on at Alleghany, by means of the linear bolometer.

The whole spectrum, visible and invisible, is powerfully affected by the selective absorption of our atmosphere and that of the sun; and we must first observe that could we get outside our earth's atmospheric shell, we should see a second and very different spectrum, and could we afterward remove the solar atmosphere also, we should have yet a third, different from either. The charts exhibited show:

1st. The distribution of the solar energy as we receive it, at the earth's surface, throughout the entire invisible as well as visible portion, both on the prismatic and normal scales. This is what I have principally to speak of now, but this whole first research is but incidental to others upon the spectra before any absorption, which though incomplete, I wish to briefly allude to later. The other curves then indicate:

2d. The distribution of energy before absorption by our own atmosphere.

3d. This distribution at the photosphere of the sun. The extent of the field, newly studied, is shown by this drawing [chart exhibited]. Between H in the extreme violet, and A in the furthest red, lies the visible spectrum, with which we are familiar, its length being about 4,000 of Angstrom's units. If, then, 4,000 represent the length of the visible spectrum, the chart shows that the region below extends through 24,000 more, and so much of this as lies below wave-length 12,000, I think, is now mapped for the first time.

[Illustration: FIG. 1.--PRISMATIC SPECTRUM.]

We have to pi = 12,000 relatively complete photographs, published by Capt. Abney, but, except some very slight indications by Lamansky, Desains, and Mouton, no further guide.

Deviations being proportionate to abscissae, and measured solar energies to ordinates, we have here (1) the distribution of energy in the prismatic, and (2) its distribution in the normal spectrum. The total energy is in each case proportionate to the area of the curve (the two very dissimilar curves inclosing the same area), and on each, if the total energy be roughly divided into four parts, one of these will correspond to the visible, and three to the invisible or ultra-red part. The total energy at the ultra violet end is so small, then, as to be here altogether negligible.

We observe that (owing to the distortion introduced by the prism) the maximum ordinate representing the heat in the prismatic spectrum is, as observed by Tyndall, below the red, while upon the normal scale this maximum ordinate is found in the orange.

I would next ask your attention to the fact that in either spectrum, below pi = 12,000 are most extraordinary depressions and interruptions of the energy, to which, as will be seen, the visible spectrum offers no parallel. As to the agent producing these great gaps, which so strikingly interrupt the continuity of the curve, and, as you see, in one place, cut it completely into two, I have as yet obtained no conclusive evidence. Knowing the great absorption of water vapor in this lowest region, as we already do, from the observations of Tyndall, it would, a priori, seem not unreasonable to look to it as the cause. On the other hand, when I have continued observations from noon to sunset, making successive measures of each ordinate, as the sinking sun sent its rays through greater depths of absorbing atmosphere, I have not found these gaps increasing as much as they apparently should, if due to a terrestrial cause, and so far as this evidence goes, they might be rather thought to be solar. But my own means of investigation are not so well adapted to decide this important point as those of photography, to which we may yet be indebted for our final conclusion.

[Illustration: FIG. 2.--NORMAL SPECTRUM. (At sea level.)]

I am led, from a study of Capt. Abney's photographs of the region between pi = 8,000 and pi = 12,000, to think that these gaps are produced by the aggregation of finer lines, which can best be discriminated by the camera, an instrument which, where it can be used at all, is far more sensitive than the bolometer; while the latter, I think, has on the other hand some advantage in affording direct and trustworthy measures of the amount of energy inhering in each ray.

One reason why the extent of this great region has been so singularly underestimated, is the deceptively small space into which it appears to be compressed by the distortion of the prism. To discriminate between these crowded rays, I have been driven to the invention of a special instrument. The bolometer, which I have here, is an instrument depending upon principles which I need not explain at length, since all present may be presumed to be familiar with the success which has before attended their application in another field in the hands of the President of this Association.

I may remark, however, that this special construction has involved very considerable difficulties and long labor. For the instrument here shown, platinum has been rolled by Messrs. Tiffany, of New York, into sheets, which, as determined by the kindness of Professor Rood, reach the surprising tenuity of less than one twenty-five-thousandth of an English inch (I have also iron rolled to one fifteen-thousandth inch), and from this platinum a strip is cut one one-hundred-and-twenty-fifth of an inch wide. This minute strip, forming one arm of a Wheatstone's bridge, and thus perfectly shielded from air currents, is accurately centered by means of a compound microscope in this truly turned cylinder, and the cylinder itself is exactly directed by the arms of this Y.

The attached galvanometer responds readily to changes of temperature, of much less than one-ten-thousandth degree F. Since it is one and the same solar energy whose manifestations we call "light" or "heat," according to the medium which interprets them, what is "light" to the eye is "heat" to the bolometer, and what is seen as a dark line by the eye is felt as a cold line by the sentient instrument. Accordingly, if lines analogous to the dark "Fraunhofer lines" exist in this invisible region, they will appear (if I may so speak) to the bolometer as cold bands, and this hair-like strip of platina is moved along in the invisible part of the spectrum till the galvanometer indicates the all but infinitesimal change of temperature caused by its contact with such a "cold band." The whole work, it will be seen, is necessarily very slow; it is in fact a long groping in the dark, and it demands extreme patience. A portion of its results are now before you.

The most tedious part of the whole process has been the determination of the wave-lengths. It will be remembered that we have (except through the work of Capt. Abney already cited, and perhaps of M. Mouton) no direct knowledge of the wave-lengths in the infra-red prismatic spectrum, but have hitherto inferred them from formulas like the well-known one of Cauchy's, all which known to me appear to be here found erroneous by the test of direct experiment, at least in the case of the prism actually employed.

I have been greatly aided in this part of the work by the remarkable concave gratings lately constructed by Prof. Rowland, of Baltimore, one of which I have the pleasure of showing you. [Instrument exhibited.]

The spectra formed by this fall upon a screen in which is a fine slit, only permitting nearly homogeneous rays to pass, and these, which may contain the rays of as many as four overlapping spectra, are next passed through a rock-salt or glass prism placed with its refracting edge parallel to the grating lines. This sorts out the different narrow spectral images, without danger of overlapping, and after their passage through the prism we find them again, and fix their position by means of the bolometer, which for this purpose is attached to a special kind of spectrometer, where its platinum thread replaces the reticule of the ordinary telescope. This is very difficult work, especially in the lowermost spectrum, where I have spent over two weeks of consecutive labor in fixing a single wave-length.

The final result is, I think, worth, the trouble, however, for, as you see here, we are now able to fix with approximate precision and by direct experiment, the wave-length of every prismatic spectral ray. The terminal ray of the solar spectrum, whose presence has been certainly felt by the bolometer, has a wave-length of about 28,000 (or is nearly two octaves below the "great A" of Fraunhofer).

So far, it appears only that we have been measuring heat, but I have called the curve that of solar "energy," because by a series of independent investigations, not here given, the selective absorption of the silver, the speculum-metal, the glass, and the lamp-black (the latter used on the bolometer-strip), forming the agents of investigation, has been separately allowed for. My study of lamp-black absorption, I should add in qualification, is not quite complete. I have found it quite transparent to certain infra-red rays, and it is very possible that there may be some faint radiations yet to be discovered even below those here indicated.

In view of the increased attention that is doubtless soon to be given to this most interesting but strangely neglected region, and which by photography and other methods is certain to be fully mapped hereafter, I can but consider this present work less as a survey than as a sketch of this great new field, and it is as such only that I here present it.

All that has preceded is subordinate to the main research, on which I have occupied the past two years at Alleghany, in comparing the spectra of the sun at high and low altitudes, but which I must here touch upon briefly. By the generosity of a friend of the Alleghany Observatory, and by the aid of Gen. Hazen, Chief Signal Officer of the U S. Army, I was enabled last year to organize an expedition to Mount Whitney in South California, where the most important of these latter observations were repeated at an altitude of 13,000 feet. Upon my return I made a special investigation upon the selective absorption of the sun's atmosphere, with results which I can now only allude to.

By such observations, but by methods too elaborate for present description, we can pass from the curve of energy actually observed to that which would be seen if the observer were stationed wholly above the earth's atmosphere, and freed from the effect of its absorption.

The salient and remarkable result is the growth of the blue end of the spectrum, and I would remark that, while it has been long known from the researches of Lockyer, Crova, and others that certain rays of short wave-length were more absorbed than those of long, these charts show how much separate each ray of the spectrum has grown, and bring, what seems to me, conclusive evidence of the shifting of the point of maximum energy without the atmosphere toward the blue. Contrary to the accepted belief, it appears here also that the absorption on the whole grows less and less, to the extreme infra-red extremity; and on the other hand, that the energy before absorption was so enormously greater in the blue and violet, that the sun must have a decidedly bluish tint to the naked eye, if we could rise above the earth's atmosphere to view it.

But even were we placed outside the earth's atmosphere, that surrounding the sun itself would still remain, and exert absorption. By special methods, not here detailed, we have at Alleghany compared the absorption, at various depths, of the sun's own atmosphere for each spectral ray, and are hence enabled to show, with approximate truth, I think for the first time, the original distribution of energy throughout the visible and invisible spectrum at the fount of that energy, in the sun itself. There is a surprising similarity, you will notice, in the character of the solar and telluric absorptions, and one which we could hardly have anticipated a priori.

Here, too, violet has been absorbed enormously more than the green, and the green than the red, and so on, the difference being so great, that if we were to calculate the thickness of the solar atmosphere on the hypothesis of a uniform transmission, we should obtain a very thick atmosphere from the rate of absorption in the infra-red alone, and a very thin one from that in the violet alone.

But the main result seems to be still this, that as we have seen in the earth's atmosphere, so we see in the sun's, an enormous and progressive increase of the energy toward the shorter wave-lengths. This conclusion, which, I may be permitted to remark, I anticipated in a communication published in the Comptes Rendus of the Institute of France as long since as 1875, is now fully confirmed, and I may mention that it is so also by direct photometric methods, not here given.

If, then, we ask how the solar photosphere would appear to the eye, could we see it without absorption, these figures appear to show conclusively that it would be blue. Not to rely on any assumption, however, we have, by various methods at Allegheny, reproduced this color.

Thus (to indicate roughly the principle used), taking three Maxwell's disks, a red, green, and blue, so as to reproduce white, we note the three corresponding ordinates at the earth's surface spectrum, and, comparing these with the same ordinates in the curve giving the energy at the solar surface, we rearrange the disks, so as to give the proportion of red, green, and blue which would be seen there, and obtain by their revolution a tint which must approximately represent that at the photosphere, and which is most similar to that of a blue near Fraunhofer's "F."

The conclusion, then, is that, while all radiations emanate from the solar surface, including red and infra-red, in greater degree than we receive them, the blue end is so enormously greater in proportion that the proper color of the sun, as seen at the photosphere is blue--not only "bluish," but positively and distinctly blue; a statement which I have not ventured to make from any conjecture, or on any less cause than on the sole ground of long continued experiments, which, commenced some seven years since, have within the past two years irresistibly tended to the present conclusion.

The mass of observations on which it rests must be reserved for more detailed publication elsewhere. At present, I can only thank the association for the courtesy which has given me the much prized opportunity of laying before them this indication of methods and results.


THE MINERALOGICAL LOCALITIES IN AND AROUND NEW YORK CITY, AND THE MINERALS OCCURRING THEREIN.

[Footnote: Continued from SUPPLEMENTS 244 and 246.]

By NELSON H. DABTON.

PART III.

Hoboken.--The locality represented here is where the same serpentine that we met on Staten Island crops out, and is known as Castle Hill. It is a prominent object in view when on the Hudson River, lying on Castle Point just above the Stevens Institute and about a mile north of the ferry from Barclay or Christopher Street, New York city. Upon it is the Stevens estate, etc., which is ordinarily inaccessible, but below this and along the river walk, commencing at Fifth Street and to Twelfth, there is an almost uninterrupted outcrop from two to thirty feet in thickness and plentifully interspersed with the veins of the minerals of the locality, which are very similar to those of Staten Island; the serpentine, however, presenting quite a different appearance, being of a denser and more homogeneous structure and color, and not so brittle or light colored as that of Staten Island, but of a pure green color. The veins of minerals are about a half an inch to--in the case of druses of magnesite, which penetrate the rock in all proportions and directions--even six inches in thickness. They lie generally in a perpendicular position, but are frequently bent and contorted in every direction. They are the more abundant where the rock is soft, as veins, but included minerals are more plentiful in the harder rock. There is hardly any one point on the outcrop that may be said to be favored in abundance, but the veins of the brucites, dolomite, and magnesites are scattered at regular and short intervals, except perhaps the last, which is most plentiful at the north end of the walk.

Magnesite.--This mineral, of which we obtained some fine specimens on Staten Island, occurs extremely plentifully here, constituting five or six per cent. of a large proportion of the rock, and in every imaginable condition, from a smooth, even, dark colored mass apparently devoid of crystalline form, to druses of very small but beautiful crystals, which are obtained by selecting a vein with an opening say from a quarter to a half-inch between it and one or, if possible, both points of its contact with the inclosing rock, and cutting away the massive magnesite and rock around it, when fine druses and masses or geodes may be generally found and carefully cut out. The crystals are generally less than a quarter of an inch long, and the selection of a cabinet specimen should be based more upon their form of aggregation that the size of the crystals. Nearly all the veins hold more or less of these masses through their total extent, but many have been removed, and consequently a careful search over the veins for the above indications, of which there are still plenty undeveloped or but partly so, would well repay an hour or more of cutting into, by the specimens obtained. Patience is an excellent and very necessary virtue in searching for pockets of minerals, and is even more necessary here among the multitudinous barren veins. One hint I might add, which is of final importance, and the ignorance of which has so far preserved this old locality from exhaustion, is that every specimen of this kind in the serpentine, of any great uniqueness, is to be found within five feet from the upper or surface end of the vein, which in this locality is inaccessible in the more favored parts without a ladder or similar arrangement upon which one may work to reach them. Here the veins will be found to be very far disintegrated and cavernous, thus possessing the requisite conditions of occurrence (this is also true of Staten Island, but there more or less inaccessible) for this mineral and similar ones that occur in geodes or drused incrustations, while it is just vice versa for those occurring in closely packed veins, as brucite, soapstone, asbestos, etc., where they occur in finer specimens, where they are the more compact, which is deep underground. This is also partly true of the zeolites and granular limestone species with included minerals. I do not think there is any rule, at least I have not observed it in an extended mineralogical experience; but if they favor any part, it is undoubtedly the top, as in the granular limestone and granite; however, they generally fall subordinate to the first principle, as they more frequently, in this formation, with the exception of chromic iron, occur not in the serpentine but in the veins therein contained; for instance, crystals of dolomite are found deeper in the rock as they occur in the denser soapstone, which becomes so at a more or less considerable depth, with spinel, zircon, etc., of the granular limestone. They occur generally in pockets within five feat from the surface, but they can hardly be called included minerals, as they are rather, as their mention suggests, pockets, and adjacent or in contact with the intruded granite or metamorphosed rock joining the formation at this point. This is seemingly at variance when we consider datholite, but when we do find it in pockets a hundred and fifty feet below the surface, in the Weehawken tunnel, it is not in the trap, but on the surface of what was a cleft or empty vein, since filled up with chlorite extending from the surface down, while natrolite, etc., by the trap having clefts of such variable and often great depth, allowed the solution of the portion thus contributed that infiltered from the surface easy access to the beds in which they lie, the mode of access being since filled with densely packed calcite, which was present in over-abundance. This is not applicable to serpentine, as the clefts are never of any great depth, and the five feet before mentioned are a proportionately great depth from the surface. As I mentioned in commencing this paper (Part I), every part of the success of a trip lies in knowing where to find the minerals sought; and by close observation of these relations much more direction may be obtained than by my trying to describe the exact point in a locality where I have obtained them or seen them. There is much more satisfaction in finding rich pockets independently of direction, and by close observance of indications rather than chance, or by having them pointed out; for the one that reads this, and goes ahead of you to the spot, and either destroys the remainder by promiscuous cuttings, or carries them off in bulk, as there are many who go to a locality, and what they cannot carry off they destroy, give you a disappointment in finding nothing; consequently, I have considered that this digression from our subject in detail was pardonable, that one may be independent of the stated parts of the locality, and not too confidently rely on them, as I am sometimes disappointed myself in localities and pockets that I discover in spare time by finding that some one has been there between times, and carried off the remainder. The characteristics of magnesite I have detailed under that head under Pavilion Hill, Staten Island; but it may be well to repeat them briefly here. Form as above described, from a white to darker dirty color. Specific gravity, 2.8-3; hardness, about 3.5. Before the blowpipe it is infusible, and not reduced to quicklime, which distinguishes it from dolomite, which it frequently resembles in the latter's massive form, common here in veins. It dissolves in acid readily with but little effervescence, which little, however, distinguishes it from brucite, which it sometimes resembles and which has a much lower-specific gravity when pure.

Dolomite.--This mineral has been very common in this locality. It differs, perhaps, as I have before explained, from magnesite in containing lime besides magnesia, and from calc spar by the vice versa. Much of the magnesite in this serpentine contains more or less lime, and is consequently in places almost pure dolomite, although crystals are seldom to be found in this outcrop, it all occurring as veins about a half-inch thick and resembling somewhat the gurhofite of Staten Island, only that it is softer and less homogeneous in appearance. Its color is slightly tinged green, and specimens of it are not peculiarly unique, but perhaps worth removing. Its characteristics are: first, its burning to quicklime before the blowpipe, distinguishing it from pure magnesite; second, its slow effervescence in acids. Besides these, its specific gravity is 2.8, hardness, 8.5; from calcspar it cannot be distinguished except by chemical analysis, as the two species blend almost completely with every intermediate stage of composition into either calc spar, or, what occurs in this locality, aragonite, similar in composition to it, or dolomite. The color of the last, however, is generally darker, and it cleaves less readily into its crystalline form, which is similar to calc spar, and of which it is harder, 3.5 to 3 of calc spar.

Aragonite.--This mineral, identical in composition with calc spar, but whose crystalline form is entirely different, occurs in this locality in veins hardly recognizable from the magnesite or dolomite, and running into dolomite. It is not abundant, and the veins are limited in extent; the only distinguishment it has from the dolomite, practically, is its fibrous structure, the fibers being brittle and very coarse. If examined with a powerful glass, they will be seen to be made up of modified long prisms. The specific gravity is over 2.9, hardness about 4, unless much weathered, when it becomes apparently less. There are some small veins at the north end of the walk, and in them excellent forms may be found by cutting into the veins.

Brucite.--This mineral occurs here in fair abundance, it being one of the principal localities for it in the United States, and where formerly extremely unique specimens were to be obtained. It has been pretty well exhausted, however, and the fine specimens are only to be obtained by digging into the veins of it in the rock, which are quite abundant on the south end of the walk, and, as I before noted, as deep as possible from the top of the veins, as it is a closely packed mineral not occurring in geodes, druses, etc. Two forms of it occur; the one, nemalite, is in fibers of a white to brown color resembling asbestos, but the fibers are brittle, and hardly as fine as a typical asbestos. It is packed in masses resembling the brucite, from which it only differs in breaking into fibers instead of plates, as I have explained in my description of that species (see Part II). They are both readily soluble in acids, with effervescence, and infusible but crumble to powder before the blowpipe, or at least become brittle; when rubbed in mass with a piece of iron, they phosphoresce with a yellow light; specific gravity, 2.4, hardness, 1.5 to 2. Its ready solubility in acids without effervescence at once distinguishes it from any mineral that it may resemble. The specimens of nemalite may be more readily obtained than the brucite but fine specimens of both may be obtained after finding a vein of it, by cutting away the rock, which is not hard to do, as it is in layers and masses packed together, and which maybe wedged out in large masses at a time with the cold chisel and hammer, perhaps at the rate of three or four cubic feet an hour for the first hour, and in rapidly decreasing rate as progress is made toward the unweathered rock and untouched brucite, etc.

Serpentine.--Fair specimens of this may be obtained of a dark oil green color, but not translucent or peculiarly perfect forms. The variety known as marmolite, which splits into thin leaves, is plentiful and often well worth removing.

Chromic Iron.--Crystals of this are included in the denser rock in great abundance; they are very small, seldom over a few lines in diameter, of an iron black color, of a regular octahedral form; sometimes large crystals may be found in place or in the disintegrated loose rock. I have seen them a half inch in diameter, and a half dozen in a small mass, thus forming an excellent cabinet specimen. By finding out by observation where they are the thickest in the rock, and cutting in at this point, more or less fine crystals may be obtained. This is readily found where they are so very abundant, near the equidistant points of the walk, that no difficulty should be encountered in so doing. These characteristics are interesting, and if large specimens cannot be obtained, any quantity of the small crystals may be split out, and, as a group, used for a representative at least. Before the blowpipe it is infusible, but if powdered, it slowly dissolves in the molten borax bead and yields a beautiful green globule. The specific gravity, which is generally unattainable, is about 4.5, and hardness 5 to 6. Its powder or small fragments are attracted by the magnet. A few small veins of this mineral are also to be found horizontally in the rock, and small masses may be obtained. They are very rare, however. I have seen numerous agates from this locality, but have not found them there myself. They may be looked for in the loose earth over the outcrop, or along the wall of the river. Our next locality is Paterson, N. J., or rather in a trip first to West Paterson by the D.L. & W. Railroad, Boonton branch, then back to Paterson proper, which is but a short distance, and then home by the Erie road, or, if an excursion ticket has been bought, on the D.L. & W, back from West Paterson. Garret Rock holds the minerals of Paterson, and although they are few in number, are very unique. The first is phrenite. This beautiful mineral occurs in geodes, or veins of them, near the surface of the basalt, which is the characteristic formation here, and lies on the red sandstone.

These veins are but two or three feet from the surface, and the ones from which the fine specimens are to be and have been obtained are exposed by the railroad cutting about a thousand feet north of the station at West Paterson, and on the west side of the rails. Near or below the beds is a small pile of debris, prominent by being the only one in the vicinity near the rails. In this loose rock and the veins which are by this description readily found and identified, they are about three inches in thickness, and in some places widen out into pockets even a foot in diameter They look like seams of a dark earth, with blotches of white or green matter where they are weathered, but are fresher in appearance inside. The rock, in the immediate vicinity of the veins, is soft, and may be readily broken out with the hammer of, if possible, a pick bar, and thus some of these geode cavities broken into, and much finer specimens obtained than in the vein proper. Considerable occurs scattered about in the before-mentioned pile of loose rock and debris, and if one does not prize it sufficiently to cut into the rock, taking the chances of lucky find, plenty may be obtained thus; but as it has been pretty thoroughly picked over where loose, it is much more satisfactory to obtain the fine specimens in place in the rock. When the bed for the railroad was being cut here, many fine specimens were obtained by those in the vicinity, and the natives of the place have it in abundance, and it may be obtained from many of them for a trifle, if one is not inclined to work it out. The mineral itself occurs in masses in the vein of a white, greenish white, or more or less dark green color. Sometimes yellowish crystals of it occur plentifully in short thick prisms, but the common form is that of round coralloid bunches, having a radiated structure within. Sometimes it is in masses made up of a structure resembling the leaves of a book slightly opened, and in nearly every shape and size. Crystals of the various forms may be well secured, and also the different colors from the deep green to the blue white, always remembering that true, perfect crystals are of more value than masses or attempted forms. The specific gravity is 2.8 to 2.9, hardness nearly 7 before the blowpipe; it readily fuses after intumescing; it dissolves in hot acid without gelatinizing, leaving a flaky residue.

Datholite.--This mineral is very abundant as inferior specimens, and frequently very fine ones may be obtained. They occur all around Garret Rock at the juncture of the basalt and red sandstone, in pockets, and as heavy druses. They are most abundant near the rock cuttings between West Paterson and Paterson, and may be cut out by patient labor. This is a long known and somewhat noted locality for datholite, and no difficulty need be experienced in obtaining plenty of fair specimens. Near them is the red sandstone, lying under the basalt, and baked to a scoriaceous cinder. Upon this is a layer of datholite in the form of a crystalline plate, and over or above this, either in the basalt or hanging down into cavities in the sandstone, are the crystals or geodes of datholite. Old spots are generally exhausted, and consequently every new comer has to hunt up new pockets, but as this is readily done, I will not expend further comment on the matter. The datholite, as in other localities, consists of groups of small colorless crystals. Hardness, about 5; specific gravity, 3. Before the blowpipe it intumesces and melts to a glassy globule coloring the flame green, and forms a jelly when boiled with the acids.

Pectolite--This mineral is also quite abundant in places, the greater part occurring with or near the phrenite before mentioned, in small masses generally more or less weathered, but in very fair specimens, which are about an inch in thickness. It is readily recognized by its peculiar appearance, which, I may again repeat, is in fibrous masses, these fibers being set together in radiated forms, and are quite tough and flexible, of a white color, and readily fused to a globule before the blowpipe.

Feldspar.--This mineral occurs strewn over the hill from place to place, and is peculiarly characterized by its lively flesh red color, quite different from the dull yellowish gray of that from Staten Island or Bergen Hill. Fine crystals of it are rather rare, but beautiful specimens of broken groups may be obtained in loose debris around the hill and in its center. I have not been able to locate the vein or veins from which it has come, but persistent search will probably reveal it, or it may be stumbled upon by accident. Some of the residents of the vicinity have some fine specimens, and it is possible that they can direct to a plentiful locality. However, some specimens are well worth a thorough search, and possess considerable value as mineralogieal specimens. The specific gravity of the mineral is 2.6, and it has a hardness of 6 before the blowpipe. It is with difficulty fused to a globule, more or less transparent. It occurs undoubtedly in veins in the basalt and near the surface of the outcrop As this locality has never before been mentioned as affording this species, it is fresh to the amateur and other mineralogists, and there need be no difficulty in obtaining some fine specimens. Its brilliant color distinguishes it from other minerals of the locality.

It is possible that some of the other zeolites as mentioned under Bergen Hill occur here, but I have not been able to find them. The reason may be that the rock is but little cut into, and consequently no new unaltered veins are exposed.

COPPER MINES, ARLINGTON, N. J.--A short distance north of this station, on the New York and Greenwood Lake Railroad, and about nine miles from Jersey City, is one of the cuttings into the deposits of copper which permeate many portions of the red sandstone of this and the allied districts in Connecticut and Massachusetts, and which have been so extensively worked further south at Somerville and New Brunswick, etc. There are quite a variety of copper minerals occurring in these mines, and as they differ but little in anything but abundance, I will describe this, the one nearest to New York City, as I promised in commencing these papers. The locality of this mine may be readily found, as it is near the old turnpike from Jersey City, along which the water-pipes or aqueduct, are laid. By taking the road directly opposite to the station at Arlington, walking north to its end, which is a short distance, then turning to the left along the road, there crossing and turning north up the next road joining this, until the turnpike is reached; this is then followed east for about a quarter-mile, passing occasional heaps in the road of green earth, until the head of a descent is reached, when we turn off into the field to the left, and there find the mine near the heaps of greenish rocks and ore scattered about, a distance from the station of about a mile and a half through a pleasing country. The entrance to the mine is to the right of the bank of white earth on the edge of, and in the east side of the hill; it is a tunnel more or less caved in, running in under the heaps of rock for some distance. It will not be necessary, even if it were safe, to venture into the mine, but all the specimens mentioned below may be obtained from the heaps of ore and rock outside, and in the outcrops in the east side of the hill, a little north of the mouth of the tunnel to the mine. The hammer and cold chisel will be necessary, and about three hours should be allowed to stay, taking the noon train from New York there, and the 5.09 P.M. train in return, or the 6.30 A.M. train from the city, and the 1.57 P.M. in return. This will give ample opportunity for the selection of specimens, and, if time is left, to visit the water works, etc.

Green Malachite.--This is the prominent mineral of the locality, and is conspicuous by its rich green color on all the rocks and in the outcrops. Fine specimens of it form excellent cabinet specimens. It should be in masses of good size, with a silky, divergent, fibrous structure, quite hard, and of a pure oil green color, for this purpose. Drused crystals of it are also very beautiful and abundant, but very minute. As the greater part of it is but a sixteenth or eighth of an inch in thickness, it may require some searching to secure large masses a quarter to a half-inch in thickness, but there was considerable, both in the rock, debris, and outcrop, remaining the last visit I made to the place a few months ago. The mineral is so characterized by its color and solubility in acid that a detailed description of it is unnecessary to serve to distinguish it. Its specific gravity is 4, and hardness about 4. It decrepitates before the blowpipe, but when fused with some borax in a small hollow on a piece of wood charcoal, gives a globule of copper. It readily dissolves in acids, with effervescence, as it is a carbonate of copper.

Red Oxide of Copper--This rather rare mineral is found in small quantities in this mine, or near it, in the debris or outcrop. Perfect crystals, which are of a dodecahedral or octahedral form, are fairly abundant. They are difficult to distinguish, as they are generally coated, or soiled at least, with malachite. The color proper is of a brownish red, and the hardness about 4, although sometimes, it is earthy, with an apparent hardness not over 2. The crystals are generally about a quarter of an inch to a half of an inch in diameter, and found inside the masses of malachite. When these are broken open, the red copper oxide is readily distinguished, and may be separated or brought into relief by carefully trimming away the malachite surrounding it as its gravity (6) is much greater than malachite. When a piece of the last is found which has a high gravity, it may be suspected and broken into, as this species is much more valuable and rarer than the malachite which is so abundant. It dissolves in acids like malachite, but without effervescence, if it be freed from that mineral, and acts the same before the blowpipe. Sometimes it may be found as an earthy substance, but is difficult to distinguish from the red sandstone accompanyit, which both varieties resemble, but which, not being soluble in the acids, find having the blowpipe reactions, is thus characterized. This red oxide of copper does not form a particularly showy cabinet specimen, but its rarity and value fully compensate for a search after it. I have found considerable of it here, and seen some little of it in place remaining.

Chrysorolla.--This mineral, very abundant in this locality, resembles malachite, but has a much bluer, lighter color, without the fibrous structure so often present in malachite, and seldom in masses, it only occurring as light druses and incrustations, some of which are very beautiful, and make very fine cabinet specimens. Its hardness is less than that of the other species, being under 3, and a specific gravity of only 2, but as it frequently occurs mixed with them, is difficult to distinguish. It does not dissolve in nitric acid, although that takes the characteristic green color of a solution of nitrate of copper, as from malachite or red oxide. This species is found all over this locality, and a fine drused mass of it will form an excellent memento of the trip.

Copper Glance.--This mineral is quite abundant in places here, but fine crystals, even small, as it all is, are rare. That which I have seen has been embedded in the loose rock above the mine, about a quarter inch in diameter, and more or less disguised by a green coating of chrysocolla. The color of the mineral itself is a glistening grayish lead color, resembling chromite somewhat in appearance, but the crystals of an entirely different shape, being highly modified or indistinct rhombic prisms. The specific gravity is over 5, and the hardness 4. Before the blowpipe on a piece of wood charcoal it gives off fumes of sulphur, fuses, boils, and finally leaves a globule of copper. In nitric acid it dissolves, but the sulphur in combination with it separates as a white powder. A steel knife blade placed in this solution receives a coating of copper known by its red color.

Erubescite--This mineral occurs massive in the rock here with the other copper minerals, and is of a yellowish red color, more or less tarnished to a light brown on its surface, Before the blowpipe on charcoal it fuses, burns, and affords a globule of copper and iron, which is attracted by the magnet. Its specific gravity is 5, hardness 3. It resembles somewhat the red oxide, but the low gravity, inferior hardness, lighter color, and blowpipe reaction distinguish it. These are the only copper minerals likely to be found at this mine, and the following table and note will show their characteristics:

Name.    Speci-   Hardness  Action of       Action of   Color.     Form.
         fic                Blowpipe Heat.  Hot Nitric
         Gravity.                           Acid.

Mala- From 4 From 3 Decrepitates, Dissolves Pure Oil Fibrous, chite to 4.5 to 4 but fuses with with Green. massive, borax to a effer- or in- green bead. vescence crusting.
Red 6 From 3.5 On charcoal Dissolves A deep Modified Oxide to 4 yields a without brownish crystals. globule of effer- red. copper. vescence
Chryso- From 2 From 2 Infusible. Partly Bright Incrus- colla to 2.3 to 3 soluble bluish tations. green.
Copper 5 From 2.5 Fumes of Copper Grayish Modified Glance to 3 sulphur and a soluble, Lead. rhombic globule of sulphur prisms. copper deposits
Erube- 5 From 3 Fumes of Partly Yellowish Massive. scite to 3.5 sulphur and soluble red or magnetic tarnished. globule.

Malachite is characterized by its color from Copper Glance and Red Oxide and Erubescite, and from Chrysocolla by the action of the acid, the fibrous structure and blowpipe reaction, gravity, and hardness.

Red Oxide is distinguished from Erubescite, which it alone resembles, by its darker color, higher specific gravity, and yielding a globule of pure copper.

Chrysocolla is characterized by its low specific gravity, light color, lack of fibrous structure, blowpipe reactions, and the acid.

Copper Glance is distinguished by its color, fumes of sulphur, and globule of copper.

Erubescite is distinguished from Red Oxide, which it alone resembles, by its lighter color, great solubility when pure, and yielding a magnetic globule before the blowpipe in the hollow of a piece of wood charcoal, which is used instead of platinum wire in this investigation.


ENTOMOLOGY.

[Footnote: From the American Naturalist, November, 1882.]

THE BUCKEYE LEAF STEM BORER.--In our account of the proceedings of the entomological sub-section of the A.A.A.S., at the 1881 meeting (see American Naturalist, 1881, p. 1009), we gave a short abstract of Mr. E.W. Claypole's paper on the above insect, accepting the determination of the species as Sericoris instrutana, and mentioning the fact that the work of Proteoteras æsculana Riley upon maple and buckeye was very similar. A letter recently received from Mr. Claypole, prior to sending his article to press, and some specimens which be had kindly submitted to us, permit of some corrections and definite statements. We have a single specimen in our collection, bred from a larva found feeding, in 1873, on the blossoms of buckeye, and identical with Mr. Claypole's specimens, which are in too poor condition for description or positive determination. With this material and with Mr Claypole's observations and our own notes, the following facts are established:

1st. We have Proteoteras æsculana boring in the terminal green twigs of both maple and buckeye, in Missouri, and often producing a swelling or pseudo-gall. Exceptionally it works in the leaf-stalk. It also feeds on the samara of maple, as we reared the moth in June, 1881, from larvæ infesting these winged seeds that had been collected by Mr. A.J. Wethersby, of Cincinnati, O.

2d. We have an allied species, boring in the leaf-stalk of buckeye, in Ohio, as observed by Mr. Claypole. It bears some resemblance to Proteoteras æsculana, but differs from it in the following particulars, so far as can be ascertained from the poor material examined: The primaries are shorter and more acuminate at apex. Their general color is paler, with the dark markings less distinctly separated. No distinct tufts of scales or knobs appear, and the ocellated region is traversed by four or five dark longitudinal lines. It would be difficult to distinguish it from a rubbed and faded specimen of æsculana, were it not for the form of the wing, on which, however, one dare not count too confidently. It probably belongs to the same genus, and we would propose for it the name of claypoleana. The larva is distinguished from that of æsculana by having the minute granulations of the skin smooth, whereas in the latter each granule has a minute sharp point.

3d. Sericoris instrutana is a totally different insect. Hence our previous remarks as to the diversity of food-habit in this species have no force--C.V.R.


DEFOLIATION OF OAK TREES BY DRYOCAMPA SENATORIA IN PERRY COUNTY, PA.--During the present autumn the woods and road-sides in this neighborhood (New Bloomfield) present a singular appearance in consequence of the ravages of the black and yellow larva of the above species. It is more abundant, so I am informed, than it has ever been before. In some places hardly any trees of the two species to which its attack is here limited have escaped. These are the black or yellow oak (Q. tinctoria) with its variety (coccinea), the scarlet oak and, the scrub oak (Q. ilicifolia). These trees appear brown on the hill-sides from a distance, in consequence of being altogether stripped of their leaves. The sound of the falling frass from the thousands of caterpillars resembles a shower of rain. They crawl in thousands over the ground, ten or twelve being sometimes seen on a square yard. The springs and pools are crowded with drowned specimens. They are equally abundant in all parts of the county which I have visited during the past week or two--the central and southeastern.--E. W. Olaypole, New Bloomfield, Pa.


EFFICACY OF CHALCID EGG-PARASITES.--Egg-parasites are among the most efficient destroyers of insects injurious to vegetation, since they kill their victim before it has begun to do any damage; but few persons are aware of the vast numbers in which these tiny parasites occasionally appear. Owing to the abundance of one of them (Trichogramma pretiosa Riley), we have known the last brood of the cotton-worm to be annihilated, and Mr. H.G. Hubbard reported the same experience at Centerville, Fla. Miss Mary E. Murtfeldt has recently communicated to us a similar experience with a species of the Proctotrupid genus Telenomus, infesting the eggs of the notorious squash-bug (Coreus tristis). She writes: "The eggs of the Coreus have been very abundant on our squash and melon vines, but fully ninety per cent. of them thus far [August 2] have been parasitized--the only thing that has saved the plants from utter destruction."


ON THE BIOLOGY OF GONATOPUS PILOSUS Thoms--Professor Josef Mik, in the September number of the Wiener Entomologische Zeitung (pp. 215-221, pl. iii), gives a most interesting account of the life history of the curious Proctotrupid, Gonatopus pilosus Thoms., which has not before been thoroughly understood. Ferris, in his "Nouvelles excursions dans les grandes Landes," tells how, from cocoons of parasitic larvae on Athysanus maritima (a Cicadellid) he bred Gonatopus pedestris, but this he considered a secondary parasite, from the fact that it issued from an inner cocoon. It appears from the observations of Mik, however, that it was in all probability a primary parasite, as with the species studied by the latter (G. pilosus) the larva spins both an outer and an inner cocoon. The larva of Gonatopus pilosus is an external parasite upon the Cicadellid Deltocephalus xanthoneurus Fieb. The eggs are laid in June or July, and the larvae, attaching themselves at the junction of two abdominal segments, feed upon the juices of their host. But one parasite is found upon a single Cicadellid, and it occasionally shifts its position from one part of the abdomen to another. Leaving its host in September, it spins a delicate double cocoon in which it remains all winter in the larva state, transforming to pupa in May, and issuing as an imago in June.

It will be remembered that the female in the genus Gonatopus is furnished with a very remarkable modification of the claws of the front tarsi, which are very strongly developed, and differ somewhat in shape in the different species. It has usually been supposed that these claws were for the purpose of grasping prey, but Professor Mik offers the more satisfactory explanation that they are for the purpose of grasping the Cicadellids, and holding them during the act of oviposition.

It is interesting to note that there is in the collection of the Department of Agriculture a specimen of Amphiscepa bivittata Say, which bears, in the position described above, a parasitic larva similar to that described by Mik. It left its victim and spun a white cocoon, but we failed to rear the imago. It is probably the larva of a Gonatopus, and possibly that of the only described American species of the genus, Gonatopus contortulus Patton (Can. Ent., xi p. 64).


SPECIES OF OTIORHYNCHIDAE INJURIOUS TO CULTIVATED PLANTS--Of our numerous species of this family, we know the development and earlier stages of only one species, viz, Fuller's rosebeetle (Aramigus Fulleri[1]). A few other species have attracted attention by the injury caused by them as perfect insects. They are as follows: Epicoerus imbricatus, a very general feeder; Pachnoeus opalus and Artipus floridanus, both injurious to the orange tree. Of a few other species we know the food-plants: thus Neoptochus adspersus feeds on oak; Pachnoeus distans on oak and pine; Brachystylus acutus is only found on persimmon; Aphrastus toeniatus lives on pawpaw (but not exclusively); Eudiagogus pulcher and rosenschoeldi defoliate the coffee-weeds (Cassia occidentalis and other species of the same genus). Two very common species, Pandeleteius hilaris and Tanymecus confertus, appear to be polyphagous, without preference for any particular plant. Very recently the habits of another species, Anametis grisea Horn, were brought to our knowledge by Mr. George P. Peffer, of Pewaukee, Wis., who sent us specimens of the beetle accompanied by the following communication: "The larger curculio I send you is working around the roots of apple and pear trees, near the surface of the ground or around the union where grafts are set. I found fifteen of the larvae on a small tree one and a half inches in diameter. The beetle seems to lay its eggs just where the bark commences to be soft, near or partly under the ground. The larvae eat the bark only, but they are so numerous as to girdle the tree entirely in a short time."--C. V. Riley.

[Footnote 1: Vide Annual Report Department of Agriculture, 1878, p. 257.]

BOMBYLIID LARVAE DESTROYING LOCUST EGGS IN ASIA MINOR.--The eggs of locusts in Cyprus and the Dardanelles, as we learn from the Proceedings of the London Entomological Society, are much infested with the parasitic larvae of Bombyltidae, though these were previously not known to occur on the island. This fact shows that the habit which we discovered among some of our N. A. Bombyliids recurs in other parts of the world, and we have little doubt that careful search among locust eggs will also reveal the larval habits of some of the Meloïdae in Europe and elsewhere. Indeed, notwithstanding the closest experiments of Jules Lichtenstein, which show that the larva of the Spanish blister-beetle of commerce will feed on honey, we imagine that its more natural food will be found in future to be locust eggs. The particular Bombyliid observed by Mr. Frank Calvert destroying locusts in the Dardanelles is Callostoma fascipennis Macq., and its larva and pupa very closely resemble those of Triodites mus. which we have studied and figured (see Vol. XV., pl. vi.). We quote some of Mr. Calvert's observations:

"On the 24th of April I examined the larvae in the ground; the only change was a semi-transparent appearance which allowed of a movable black spot to be seen in the body. On the 8th June about fifty per cent. of the larvae had cast a skin and assumed the pupal state in their little cells: the color yellowish-brown, darkening to gray in the more advanced insect. About one per cent. of the cells, in which were two skins and an aperture to the surface, showed the perfect insect to have already come out of them. A gray pupa I was holding in my hand suddenly burst its envelope, and in halt a minute on its legs stood a fly, thus identifying the perfect insect.... I found the fly, now identified, sucking the nectar of flowers, especially of the pink scabious and thistle, plants common in the Troad. (Later on I counted as many as sixteen flies on a thistle-head.) The number of flies rapidly increased daily until the 13th, when the ground appeared pitted all over with small holes from whence the parasite had issued. A few pupae were then still to be found--a larva the rare exception. The pupal state thus seems to be of short duration. It was very interesting to watch the flies appearing above ground; first the head was pushed out; then, with repeated efforts, the body followed; the whole operation was over in two or three minutes; the wings were expanded, but the colors did not brighten until some time after. Occasionally a pupa could not cast off its envelope, and came wriggling out of the ground, when it was immediately captured by ants. Unfortunate flies that could not detach the covering membrane adhering to the abdomen, also fell a prey, as indeed many of the flies that could not get on their legs in time. The flies for the first time 13th June, were seen to pair, but this rarely."


SPARROWS IN THE UNITED STATES.--EFFECT OF ACCLIMATION, ETC.

The house sparrows were first brought to New York city in 1862. They might have been introduced in consideration of the scientific usefulness of the experiment; but the importation was made solely in view of the benefit to result from their immense consumption of larvae.

I have long observed peculiarities in their acclimation which are hardly known at all, and which must have a scientific importance. The subject might also be worthy of general interest, so numerous and familiar have the sparrows become all over our country.

Walking on Fifth avenue, or in the parks of the city, during the breeding season, one's attention is repeatedly attracted by the pitiful shrill call of a sparrow fallen on the pavement upon its first attempt at flight, or by the stronger note of a mother sparrow, sharply bewailing the fate of a little one, killed by the fall, or dispatched alive by the cat.

Should we take and examine these little weaklings, we should find generally that they are at a period when they normally should have the strength for flight, and we should also find that they are almost always of a lightish tint, some with head white, others with streaks and spots of white on the tail or back, and occasionally one is found entirely white, with red eyes--a complete albino. It is an accepted fact that the city-sparrow is everywhere of a lighter color than that of the country. But here the greater lightness exists in so many cases, to such a degree, and particularly in female sparrows, that it should be discussed, at least in part, under the head of albinism.

That so many which lack the muscular strength in their wings should be so generally affected with albinism, is a significant fact to those interested in this phenomenon.

Many hold, with Darwin, that this extraordinary want of coloring matter, occasionally met with in all animals, is not to be regarded as an index denoting an unhealthful condition of the animal. That it is so often united in the young sparrow with physical inability, argues favorably for those who bold a different view.

In my observations, what has struck me as a most curious fact, and what I have found to be generally ignored, is that this wide-spread albinism and general weakness of our acclimated house-sparrow are not found among its progenitors.

Throughout several sojourns that I made in Europe. I searched for a token of the remarkable characteristics existing here, but I never succeeded in finding one in England, France, or in Germany, nor have I met an observer that has.

This albinism and weakness, existing simultaneously to such an extent in our young house-sparrows, are evidently the result of their acclimation.

The hypothesis that our now numerous sparrows, being descended from a few European birds, and that, probably, continual and close reproduction among individuals of the same stock, as in the case of our original few sparrows, has encouraged weakness in the race, can hardly serve as an explanation of this phenomenon, because the sparrow is so prolific that, after a few years, so many families had been formed that the relation between them became very distant.

The reason for the greater proportion of albinism found in the young is obvious; the young sparrows affected with albinism, lacking usually the physical strength to battle their way in life, meet death prematurely, and thus a very small proportion of the number is permitted to reach maturity, while those that do owe it to some favoring circumstance. Many are picked up and cared for by the public; and among those to whom these sparrows generally owe such prolongation of life are the policemen in our public parks, who often bring these little waifs to their homes, keeping some, and sending others out into the world, after caring for them until they have acquired the sufficient strength. However, almost all of these albino-sparrows are picked up by the cat, and immediately disposed of to the feline's physical benefit. They form such a prominent diet among the cats near Washington Park, where I live, that, upon the removal of some of our neighbors to the upper part of the city, it was noticed that their cat became dissatisfied and lean, as sparrow-meat is not to be found so extensively there, but it finally became resigned, finding it possible to procure about three sparrows daily.

And here attention should be called to the method employed by our cats to catch not only the weak, but fine, healthy sparrows as well; it ought perhaps to be looked upon as a mark of intellectual improvement, for originally their attempts consisted chiefly in a very unsuccessful giving chase to the flying bird, whereas the cats of to-day are skilled in a hundred adroit devices. It has often been a source of enjoyment to watch their well-laid schemes and delicate maneuverings.

What wonder then, with such dainty fare at his disposal, that the cat is often found to have become indifferent to rats, and even to mice?

There are several notable changes, no more desirable than the foregoing, which have been caused by the introduction of the house-sparrow. The only positive benefit which occurs to me is that the measuring worm, which formerly infested all our vegetation, is now very nearly extinct through the instrumentality of the sparrows. A pair of these, during the breeding-season, destroys four thousand larvae weekly.

In some places, complaints are made that their untidy nests mar the appearance of trees and walls.

The amount of havoc in our wheatfields created yearly by them is enormous. Their forwardness and activity have driven all other birds from where they have settled, so that the hairy caterpillars, which sparrows do not eat and which used to be extensively consumed by other birds, are now greatly on the increase, probably the only creatures, at present, enjoying the domestication of the sparrow in this country.... I have also to remark that the sparrows here betray much less pugnacity than in Europe.--E.M., M.D.


It is stated in the Chemical Review that recent analyses of the water from the Holy Well at Mecca, which is so eagerly drunk by pilgrims, show this water to be sewage, about ten times stronger than average London sewage.


HOW TO ESTABLISH A TRUE MERIDIAN.

In looking over the excellent article of Professor S. M. Haupt, in the SCIENTIFIC AMERICAN SUPPLEMENT, No. 360, on the subject of finding the meridian, I discovered that one important step is not given, which, might prove an embarrassment to a new beginner.

In the fourth paragraph, in the third column of page 5,748, he says: "Having now found the altitude, correct it for refraction, ... and the result will be the latitude."

It will be observed that this result is only the true altitude of the star. The latitude is found by further increasing or diminishing this altitude by the polar distance of the star.

This paper will be of great value to engineers and surveyors, for the elementary works on surveying have not treated the subject clearly.

H. C. PEARSONS, C.E.

Ferrysburg, Mich.


A catalogue, containing brief notices of many important scientific papers heretofore published in the SUPPLEMENT, may be had gratis at this office.


THE SCIENTIFIC AMERICAN SUPPLEMENT.

PUBLISHED WEEKLY.

Terms of Subscription, $5 a Year.

Sent by mail, postage prepaid, to subscribers in any part of the United States or Canada. Six dollars a year, sent, prepaid, to any foreign country.

All the back numbers of THE SUPPLEMENT, from the commencement, January 1, 1876, can be had. Price, 10 cents each.

All the back volumes of THE SUPPLEMENT can likewise be supplied. Two volumes are issued yearly. Price of each volume, $2.50, stitched in paper, or $3.50, bound in stiff covers.

COMBINED RATES--One copy of SCIENTIFIC AMERICAN and one copy of SCIENTIFIC AMERICAN SUPPLEMENT, one year, postpaid, $7.00.

A liberal discount to booksellers, news agents, and canvassers.

MUNN & CO., Publishers,

261 Broadway, New York, N. Y.


PATENTS.

In connection with the Scientific American, Messrs. MUNN & Co. are Solicitors of American and Foreign Patents, have had 35 years' experience, and now have the largest establishment in the world. Patents are obtained on the best terms.

A special notice is made in the Scientific American of all Inventions patented through this Agency, with the name and residence of the Patentee. By the immense circulation thus given, public attention is directed to the merits of the new patent, and sales or introduction often easily effected.

Any person who has made a new discovery or invention can ascertain, free of charge, whether a patent can probably be obtained, by writing to MUNN & Co.

We also send free our Hand Book about the Patent Laws, Patents, Caveats. Trade Marks, their costs, and how procured, with hints for procuring advances on inventions. Address

MUNN & CO., 261 Broadway, New York.

Branch Office, cor. F and 7th Sts., Washington, D. C.






End of the Project Gutenberg EBook of Scientific American Supplement, No.
363, December 16, 1882, by Various

*** END OF THIS PROJECT GUTENBERG EBOOK SCIENTIFIC AMERICAN SUPPL., NO. 363 ***

***** This file should be named 8452-h.htm or 8452-h.zip *****
This and all associated files of various formats will be found in:
        http://www.gutenberg.org/8/4/5/8452/

Produced by Olaf Voss, Don Kretz, Juliet Sutherland, Charles
Franks and the Online Distributed Proofreaders Team


Updated editions will replace the previous one--the old editions
will be renamed.

Creating the works from public domain print editions means that no
one owns a United States copyright in these works, so the Foundation
(and you!) can copy and distribute it in the United States without
permission and without paying copyright royalties.  Special rules,
set forth in the General Terms of Use part of this license, apply to
copying and distributing Project Gutenberg-tm electronic works to
protect the PROJECT GUTENBERG-tm concept and trademark.  Project
Gutenberg is a registered trademark, and may not be used if you
charge for the eBooks, unless you receive specific permission.  If you
do not charge anything for copies of this eBook, complying with the
rules is very easy.  You may use this eBook for nearly any purpose
such as creation of derivative works, reports, performances and
research.  They may be modified and printed and given away--you may do
practically ANYTHING with public domain eBooks.  Redistribution is
subject to the trademark license, especially commercial
redistribution.



*** START: FULL LICENSE ***

THE FULL PROJECT GUTENBERG LICENSE
PLEASE READ THIS BEFORE YOU DISTRIBUTE OR USE THIS WORK

To protect the Project Gutenberg-tm mission of promoting the free
distribution of electronic works, by using or distributing this work
(or any other work associated in any way with the phrase "Project
Gutenberg"), you agree to comply with all the terms of the Full Project
Gutenberg-tm License available with this file or online at
  www.gutenberg.org/license.


Section 1.  General Terms of Use and Redistributing Project Gutenberg-tm
electronic works

1.A.  By reading or using any part of this Project Gutenberg-tm
electronic work, you indicate that you have read, understand, agree to
and accept all the terms of this license and intellectual property
(trademark/copyright) agreement.  If you do not agree to abide by all
the terms of this agreement, you must cease using and return or destroy
all copies of Project Gutenberg-tm electronic works in your possession.
If you paid a fee for obtaining a copy of or access to a Project
Gutenberg-tm electronic work and you do not agree to be bound by the
terms of this agreement, you may obtain a refund from the person or
entity to whom you paid the fee as set forth in paragraph 1.E.8.

1.B.  "Project Gutenberg" is a registered trademark.  It may only be
used on or associated in any way with an electronic work by people who
agree to be bound by the terms of this agreement.  There are a few
things that you can do with most Project Gutenberg-tm electronic works
even without complying with the full terms of this agreement.  See
paragraph 1.C below.  There are a lot of things you can do with Project
Gutenberg-tm electronic works if you follow the terms of this agreement
and help preserve free future access to Project Gutenberg-tm electronic
works.  See paragraph 1.E below.

1.C.  The Project Gutenberg Literary Archive Foundation ("the Foundation"
or PGLAF), owns a compilation copyright in the collection of Project
Gutenberg-tm electronic works.  Nearly all the individual works in the
collection are in the public domain in the United States.  If an
individual work is in the public domain in the United States and you are
located in the United States, we do not claim a right to prevent you from
copying, distributing, performing, displaying or creating derivative
works based on the work as long as all references to Project Gutenberg
are removed.  Of course, we hope that you will support the Project
Gutenberg-tm mission of promoting free access to electronic works by
freely sharing Project Gutenberg-tm works in compliance with the terms of
this agreement for keeping the Project Gutenberg-tm name associated with
the work.  You can easily comply with the terms of this agreement by
keeping this work in the same format with its attached full Project
Gutenberg-tm License when you share it without charge with others.

1.D.  The copyright laws of the place where you are located also govern
what you can do with this work.  Copyright laws in most countries are in
a constant state of change.  If you are outside the United States, check
the laws of your country in addition to the terms of this agreement
before downloading, copying, displaying, performing, distributing or
creating derivative works based on this work or any other Project
Gutenberg-tm work.  The Foundation makes no representations concerning
the copyright status of any work in any country outside the United
States.

1.E.  Unless you have removed all references to Project Gutenberg:

1.E.1.  The following sentence, with active links to, or other immediate
access to, the full Project Gutenberg-tm License must appear prominently
whenever any copy of a Project Gutenberg-tm work (any work on which the
phrase "Project Gutenberg" appears, or with which the phrase "Project
Gutenberg" is associated) is accessed, displayed, performed, viewed,
copied or distributed:

This eBook is for the use of anyone anywhere at no cost and with
almost no restrictions whatsoever.  You may copy it, give it away or
re-use it under the terms of the Project Gutenberg License included
with this eBook or online at www.gutenberg.org

1.E.2.  If an individual Project Gutenberg-tm electronic work is derived
from the public domain (does not contain a notice indicating that it is
posted with permission of the copyright holder), the work can be copied
and distributed to anyone in the United States without paying any fees
or charges.  If you are redistributing or providing access to a work
with the phrase "Project Gutenberg" associated with or appearing on the
work, you must comply either with the requirements of paragraphs 1.E.1
through 1.E.7 or obtain permission for the use of the work and the
Project Gutenberg-tm trademark as set forth in paragraphs 1.E.8 or
1.E.9.

1.E.3.  If an individual Project Gutenberg-tm electronic work is posted
with the permission of the copyright holder, your use and distribution
must comply with both paragraphs 1.E.1 through 1.E.7 and any additional
terms imposed by the copyright holder.  Additional terms will be linked
to the Project Gutenberg-tm License for all works posted with the
permission of the copyright holder found at the beginning of this work.

1.E.4.  Do not unlink or detach or remove the full Project Gutenberg-tm
License terms from this work, or any files containing a part of this
work or any other work associated with Project Gutenberg-tm.

1.E.5.  Do not copy, display, perform, distribute or redistribute this
electronic work, or any part of this electronic work, without
prominently displaying the sentence set forth in paragraph 1.E.1 with
active links or immediate access to the full terms of the Project
Gutenberg-tm License.

1.E.6.  You may convert to and distribute this work in any binary,
compressed, marked up, nonproprietary or proprietary form, including any
word processing or hypertext form.  However, if you provide access to or
distribute copies of a Project Gutenberg-tm work in a format other than
"Plain Vanilla ASCII" or other format used in the official version
posted on the official Project Gutenberg-tm web site (www.gutenberg.org),
you must, at no additional cost, fee or expense to the user, provide a
copy, a means of exporting a copy, or a means of obtaining a copy upon
request, of the work in its original "Plain Vanilla ASCII" or other
form.  Any alternate format must include the full Project Gutenberg-tm
License as specified in paragraph 1.E.1.

1.E.7.  Do not charge a fee for access to, viewing, displaying,
performing, copying or distributing any Project Gutenberg-tm works
unless you comply with paragraph 1.E.8 or 1.E.9.

1.E.8.  You may charge a reasonable fee for copies of or providing
access to or distributing Project Gutenberg-tm electronic works provided
that

- You pay a royalty fee of 20% of the gross profits you derive from
     the use of Project Gutenberg-tm works calculated using the method
     you already use to calculate your applicable taxes.  The fee is
     owed to the owner of the Project Gutenberg-tm trademark, but he
     has agreed to donate royalties under this paragraph to the
     Project Gutenberg Literary Archive Foundation.  Royalty payments
     must be paid within 60 days following each date on which you
     prepare (or are legally required to prepare) your periodic tax
     returns.  Royalty payments should be clearly marked as such and
     sent to the Project Gutenberg Literary Archive Foundation at the
     address specified in Section 4, "Information about donations to
     the Project Gutenberg Literary Archive Foundation."

- You provide a full refund of any money paid by a user who notifies
     you in writing (or by e-mail) within 30 days of receipt that s/he
     does not agree to the terms of the full Project Gutenberg-tm
     License.  You must require such a user to return or
     destroy all copies of the works possessed in a physical medium
     and discontinue all use of and all access to other copies of
     Project Gutenberg-tm works.

- You provide, in accordance with paragraph 1.F.3, a full refund of any
     money paid for a work or a replacement copy, if a defect in the
     electronic work is discovered and reported to you within 90 days
     of receipt of the work.

- You comply with all other terms of this agreement for free
     distribution of Project Gutenberg-tm works.

1.E.9.  If you wish to charge a fee or distribute a Project Gutenberg-tm
electronic work or group of works on different terms than are set
forth in this agreement, you must obtain permission in writing from
both the Project Gutenberg Literary Archive Foundation and Michael
Hart, the owner of the Project Gutenberg-tm trademark.  Contact the
Foundation as set forth in Section 3 below.

1.F.

1.F.1.  Project Gutenberg volunteers and employees expend considerable
effort to identify, do copyright research on, transcribe and proofread
public domain works in creating the Project Gutenberg-tm
collection.  Despite these efforts, Project Gutenberg-tm electronic
works, and the medium on which they may be stored, may contain
"Defects," such as, but not limited to, incomplete, inaccurate or
corrupt data, transcription errors, a copyright or other intellectual
property infringement, a defective or damaged disk or other medium, a
computer virus, or computer codes that damage or cannot be read by
your equipment.

1.F.2.  LIMITED WARRANTY, DISCLAIMER OF DAMAGES - Except for the "Right
of Replacement or Refund" described in paragraph 1.F.3, the Project
Gutenberg Literary Archive Foundation, the owner of the Project
Gutenberg-tm trademark, and any other party distributing a Project
Gutenberg-tm electronic work under this agreement, disclaim all
liability to you for damages, costs and expenses, including legal
fees.  YOU AGREE THAT YOU HAVE NO REMEDIES FOR NEGLIGENCE, STRICT
LIABILITY, BREACH OF WARRANTY OR BREACH OF CONTRACT EXCEPT THOSE
PROVIDED IN PARAGRAPH 1.F.3.  YOU AGREE THAT THE FOUNDATION, THE
TRADEMARK OWNER, AND ANY DISTRIBUTOR UNDER THIS AGREEMENT WILL NOT BE
LIABLE TO YOU FOR ACTUAL, DIRECT, INDIRECT, CONSEQUENTIAL, PUNITIVE OR
INCIDENTAL DAMAGES EVEN IF YOU GIVE NOTICE OF THE POSSIBILITY OF SUCH
DAMAGE.

1.F.3.  LIMITED RIGHT OF REPLACEMENT OR REFUND - If you discover a
defect in this electronic work within 90 days of receiving it, you can
receive a refund of the money (if any) you paid for it by sending a
written explanation to the person you received the work from.  If you
received the work on a physical medium, you must return the medium with
your written explanation.  The person or entity that provided you with
the defective work may elect to provide a replacement copy in lieu of a
refund.  If you received the work electronically, the person or entity
providing it to you may choose to give you a second opportunity to
receive the work electronically in lieu of a refund.  If the second copy
is also defective, you may demand a refund in writing without further
opportunities to fix the problem.

1.F.4.  Except for the limited right of replacement or refund set forth
in paragraph 1.F.3, this work is provided to you 'AS-IS', WITH NO OTHER
WARRANTIES OF ANY KIND, EXPRESS OR IMPLIED, INCLUDING BUT NOT LIMITED TO
WARRANTIES OF MERCHANTABILITY OR FITNESS FOR ANY PURPOSE.

1.F.5.  Some states do not allow disclaimers of certain implied
warranties or the exclusion or limitation of certain types of damages.
If any disclaimer or limitation set forth in this agreement violates the
law of the state applicable to this agreement, the agreement shall be
interpreted to make the maximum disclaimer or limitation permitted by
the applicable state law.  The invalidity or unenforceability of any
provision of this agreement shall not void the remaining provisions.

1.F.6.  INDEMNITY - You agree to indemnify and hold the Foundation, the
trademark owner, any agent or employee of the Foundation, anyone
providing copies of Project Gutenberg-tm electronic works in accordance
with this agreement, and any volunteers associated with the production,
promotion and distribution of Project Gutenberg-tm electronic works,
harmless from all liability, costs and expenses, including legal fees,
that arise directly or indirectly from any of the following which you do
or cause to occur: (a) distribution of this or any Project Gutenberg-tm
work, (b) alteration, modification, or additions or deletions to any
Project Gutenberg-tm work, and (c) any Defect you cause.


Section  2.  Information about the Mission of Project Gutenberg-tm

Project Gutenberg-tm is synonymous with the free distribution of
electronic works in formats readable by the widest variety of computers
including obsolete, old, middle-aged and new computers.  It exists
because of the efforts of hundreds of volunteers and donations from
people in all walks of life.

Volunteers and financial support to provide volunteers with the
assistance they need are critical to reaching Project Gutenberg-tm's
goals and ensuring that the Project Gutenberg-tm collection will
remain freely available for generations to come.  In 2001, the Project
Gutenberg Literary Archive Foundation was created to provide a secure
and permanent future for Project Gutenberg-tm and future generations.
To learn more about the Project Gutenberg Literary Archive Foundation
and how your efforts and donations can help, see Sections 3 and 4
and the Foundation information page at www.gutenberg.org


Section 3.  Information about the Project Gutenberg Literary Archive
Foundation

The Project Gutenberg Literary Archive Foundation is a non profit
501(c)(3) educational corporation organized under the laws of the
state of Mississippi and granted tax exempt status by the Internal
Revenue Service.  The Foundation's EIN or federal tax identification
number is 64-6221541.  Contributions to the Project Gutenberg
Literary Archive Foundation are tax deductible to the full extent
permitted by U.S. federal laws and your state's laws.

The Foundation's principal office is located at 4557 Melan Dr. S.
Fairbanks, AK, 99712., but its volunteers and employees are scattered
throughout numerous locations.  Its business office is located at 809
North 1500 West, Salt Lake City, UT 84116, (801) 596-1887.  Email
contact links and up to date contact information can be found at the
Foundation's web site and official page at www.gutenberg.org/contact

For additional contact information:
     Dr. Gregory B. Newby
     Chief Executive and Director
     gbnewby@pglaf.org

Section 4.  Information about Donations to the Project Gutenberg
Literary Archive Foundation

Project Gutenberg-tm depends upon and cannot survive without wide
spread public support and donations to carry out its mission of
increasing the number of public domain and licensed works that can be
freely distributed in machine readable form accessible by the widest
array of equipment including outdated equipment.  Many small donations
($1 to $5,000) are particularly important to maintaining tax exempt
status with the IRS.

The Foundation is committed to complying with the laws regulating
charities and charitable donations in all 50 states of the United
States.  Compliance requirements are not uniform and it takes a
considerable effort, much paperwork and many fees to meet and keep up
with these requirements.  We do not solicit donations in locations
where we have not received written confirmation of compliance.  To
SEND DONATIONS or determine the status of compliance for any
particular state visit www.gutenberg.org/donate

While we cannot and do not solicit contributions from states where we
have not met the solicitation requirements, we know of no prohibition
against accepting unsolicited donations from donors in such states who
approach us with offers to donate.

International donations are gratefully accepted, but we cannot make
any statements concerning tax treatment of donations received from
outside the United States.  U.S. laws alone swamp our small staff.

Please check the Project Gutenberg Web pages for current donation
methods and addresses.  Donations are accepted in a number of other
ways including checks, online payments and credit card donations.
To donate, please visit:  www.gutenberg.org/donate


Section 5.  General Information About Project Gutenberg-tm electronic
works.

Professor Michael S. Hart was the originator of the Project Gutenberg-tm
concept of a library of electronic works that could be freely shared
with anyone.  For forty years, he produced and distributed Project
Gutenberg-tm eBooks with only a loose network of volunteer support.

Project Gutenberg-tm eBooks are often created from several printed
editions, all of which are confirmed as Public Domain in the U.S.
unless a copyright notice is included.  Thus, we do not necessarily
keep eBooks in compliance with any particular paper edition.

Most people start at our Web site which has the main PG search facility:

     www.gutenberg.org

This Web site includes information about Project Gutenberg-tm,
including how to make donations to the Project Gutenberg Literary
Archive Foundation, how to help produce our new eBooks, and how to
subscribe to our email newsletter to hear about new eBooks.